| Autor |
Beitrag |
   
shineid

| | Veröffentlicht am Montag, den 11. Februar, 2002 - 13:18: |
|
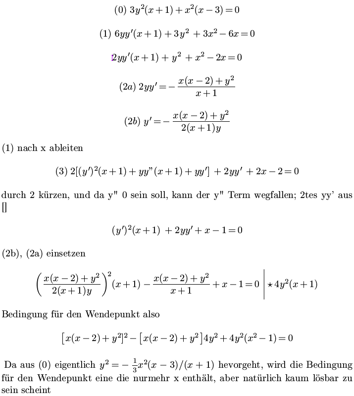
hallo ich habe die erste ableitung der relation y^2(3+3x)-x^2(3-x) = 0 durch impliziten differenzierens gemacht: y' = 2x-x^2-y^2/(2x+2) ergibt wurzel 3.......aber wie mach ich denn jetzt meine 2.implizite ableitung nacvh wendestellen hin.ich habs schon mit der quotientenregel versucht,aber im ergebnis stecken noch so viele y!!!bitte helft mir shineid |
   
Friedrich Laher (Friedrichlaher)

| | Veröffentlicht am Dienstag, den 12. Februar, 2002 - 14:52: |
|
die y sind weg, komme aber zu anderem Ergebnis, leider auch nicht nicht zur kompletten Lösung.
 |
|