>>> Hast du diesen Monat weniger als 16 Bücher gelesen? - Dann klick hier! <<<


Themenbereiche Themenbereiche Profile Hilfe/Anleitungen Help    
Recent Posts Last 1|3|7 Days Suche Suche Tree Tree View  

Hilfe, ich komm nich weiter

ZahlReich - Mathematik Hausaufgabenhilfe » ---- Archiv: Klassen 12/13 » Differentialrechnung » Sonstiges » Hilfe, ich komm nich weiter « Zurück Vor »

Autor Beitrag
Seitenanfangvoriger Beitragnächster BeitragSeitenende Link zu diesem Beitrag

Iri (space)
Suche alle Beiträge dieser Person in dieser Hauptrubrik
Mitglied
Benutzername: space

Nummer des Beitrags: 16
Registriert: 01-2003
Veröffentlicht am Dienstag, den 11. März, 2003 - 15:33:   Beitrag drucken

halloooooo, also
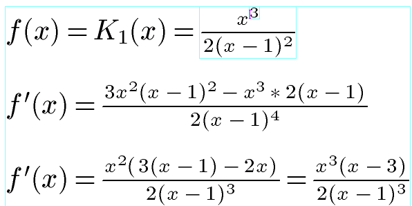
Kt = x³ / 2(x-t)² mit x element R{t}

Aufgabe: Vom Punkt S(o/5) wird die Tangente an K1(für t 1 einsetzen) gelegt.Der Berührpunkt ist B(u/ f1(u)).
Zeigens Sie,dass u die Gleichung 5(u-1)³ 0 u³ erfüllt.

Ich hab mir hier überlegt, dass man ja eine tangente von außen an dass schaubild legt, also könnte man hier ja mit 2 Bedingungen arbeiten
I ) gemeinsamer Punkt
II) gleiche Steigung
aber ich bin mir dabei nicht so sicher

wär voll lieb, wenn mir jemand helfen könnte
thx @all
Seitenanfangvoriger Beitragnächster BeitragSeitenende Link zu diesem Beitrag

Friedrich Laher (friedrichlaher)
Suche alle Beiträge dieser Person in dieser Hauptrubrik
Senior Mitglied
Benutzername: friedrichlaher

Nummer des Beitrags: 992
Registriert: 02-2002
Veröffentlicht am Mittwoch, den 12. März, 2003 - 07:37:   Beitrag drucken

f1
Allgemein gilt für die Tangente t(u,x)
an
f(x) durch den Punkt U( u | f(u) )
die
Gleichung t(u,x) = f(u) + (x-u)*f'(u)
und
die Aufgabe fordert t(u,0) = 5 = f(u) - u*f'(u)

f2

Wenn das Erlernen der Mathematik einigermaßen ihre Erfindung wiederspiegeln soll, so muß es einen Platz für Erraten, für plausibles Schließen haben.
[Aus dem Vorwort zu "Mathematik und plausibles Schliessen, Bd. 1 Induktion und Analogie in der Mathematik" von Georg Pólya]
Seitenanfangvoriger Beitragnächster BeitragSeitenende Link zu diesem Beitrag

Iri (space)
Suche alle Beiträge dieser Person in dieser Hauptrubrik
Mitglied
Benutzername: space

Nummer des Beitrags: 17
Registriert: 01-2003
Veröffentlicht am Mittwoch, den 12. März, 2003 - 18:43:   Beitrag drucken

dankeschööööön

Beitrag verfassen
Das Senden ist in diesem Themengebiet nicht unterstützt. Kontaktieren Sie den Diskussions-Moderator für weitere Informationen.


Und wie gehts weiter? Klick hier!
Learn-in! Mathematik Soforthilfe. Klick jetzt! Hier könnte Ihre Werbung erscheinen. Kontakt: werbung@zahlreich.de Sprachreisen. Hier kostenlosen Katalog bestellen!

ad
>>> Willst du die besten Proben und Gutscheine? - Dann klick hier! <<<

Informationen: Hilfe, ich komm nich weiter |  Soforthilfe Mathematik |  Online Mathebuch |  Bronstein

Administration Administration Abmelden Abmelden   Previous Page Previous Page Next Page Next Page