>>> Hast du diesen Monat weniger als 16 Bücher gelesen? - Dann klick hier! <<<


Themenbereiche Themenbereiche Profile Hilfe/Anleitungen Help    
Recent Posts Last 1|3|7 Days Suche Suche Tree Tree View  

Volumen per Mehrfachintegral?

ZahlReich - Mathematik Hausaufgabenhilfe » ---- Archiv: Klassen 12/13 » Analytische Geometrie » Körper » Volumen per Mehrfachintegral? « Zurück Vor »

Autor Beitrag
Seitenanfangvoriger Beitragnächster BeitragSeitenende Link zu diesem Beitrag

Ferdi Hoppen (tl198)
Suche alle Beiträge dieser Person in dieser Hauptrubrik
Erfahrenes Mitglied
Benutzername: tl198

Nummer des Beitrags: 290
Registriert: 10-2002
Veröffentlicht am Mittwoch, den 29. Januar, 2003 - 12:26:   Beitrag drucken

Hallo,

ich hab hoit aus dem parallel Mathe LK gehört, das die das Volumen einer Kugel per mehrfachintegral berechnet haben!

an der tafel stand dann so etwas wie:

ò ò sqrt(1-x^2-y^2) dydx

die grenzen sind mir nicht mehr bekannt. naja meine frage ist, ob man das so machen kann und ob einer mir die idee dahinter, den weg und die lösung dann beschreiben könnte?

Vielen dank im Vorraus!

mfg
Seitenanfangvoriger Beitragnächster BeitragSeitenende Link zu diesem Beitrag

Ferdi Hoppen (tl198)
Suche alle Beiträge dieser Person in dieser Hauptrubrik
Erfahrenes Mitglied
Benutzername: tl198

Nummer des Beitrags: 291
Registriert: 10-2002
Veröffentlicht am Mittwoch, den 29. Januar, 2003 - 13:41:   Beitrag drucken

also,

ich selbst schon mal geschaut:

und dabei habe ich die sog. Jacobi Formeln gefunden, für n-dimensionale Kugeln!

Vn=(pi^(n/2)*r^n)/G((n/2)+1) wobei G die Gammafunktion bezeichnet.

Man erhält dadurch wohl die Formeln:

V 2m=(pi^m*r^(2*m))/(m!)

und

V 2m+1=(2*(2pi)^m*r^(2m+1))/(1*3*5...*(2m+1))

Frage: Erhält man diese Formeln durch die Mehrfachintegrale?? Würde mich über eine Antwort freuen, da dieses Thema mich sehr interesiert!

mfg
Seitenanfangvoriger Beitragnächster BeitragSeitenende Link zu diesem Beitrag

Freddy Schäfer (freddy123)
Suche alle Beiträge dieser Person in dieser Hauptrubrik
Mitglied
Benutzername: freddy123

Nummer des Beitrags: 29
Registriert: 01-2003
Veröffentlicht am Mittwoch, den 29. Januar, 2003 - 23:41:   Beitrag drucken

Ein kleiner Exkurs über Mehrfachintegrale würde auch mich interessieren.

(Beitrag nachträglich am 30., Januar. 2003 von freddy123 editiert)
Seitenanfangvoriger Beitragnächster BeitragSeitenende Link zu diesem Beitrag

Steve JK (f2k)
Suche alle Beiträge dieser Person in dieser Hauptrubrik
Fortgeschrittenes Mitglied
Benutzername: f2k

Nummer des Beitrags: 63
Registriert: 12-2001
Veröffentlicht am Donnerstag, den 30. Januar, 2003 - 00:15:   Beitrag drucken

hallo ferdi!

hat man mit der formel auch die volumen-formel einer kugel herleiten können, oder nur auf anderem wege berechnen können??

und was sind eigentlich "mehrfachintegrale"?
was und wie rechnet man damit??

würde MICH sehr interessieren... :-)

mfg
Seitenanfangvoriger Beitragnächster BeitragSeitenende Link zu diesem Beitrag

Ferdi Hoppen (tl198)
Suche alle Beiträge dieser Person in dieser Hauptrubrik
Erfahrenes Mitglied
Benutzername: tl198

Nummer des Beitrags: 295
Registriert: 10-2002
Veröffentlicht am Donnerstag, den 30. Januar, 2003 - 12:50:   Beitrag drucken

also, ich hab mich mit einem freund mal in die unterlagen geschaut, da stand folgendes:

es geht um das volumen der einheitskugel:

x^2+y^2+z^2=1

==>z=sqrt(1-x^2-y^2)

Zuerst haben sie das Volumen der Kugel als Rotationskörper berechnet:

2piò0 1 sqrt(1-x^2) dx = (4/3)pi

das geht ja noch rein, aber dann kommt meine Frage:

Volumen per Doppelintegral:

Vk=2ò ò sqrt(1-x^2-y^2) dydx

=8*ò0 1ò0 Ö(1-x²)=w sqrt(1-x^2-y^2) dydx
=8*ò0 1ò0 w sqrt(w^2-y^2) dydx
=8*ò0 1 (w^2/2)*(pi/2) dx
=8*(pi/4)*ò0 1 1-x^2 dx
=(4/3)pi

Das meinet ich! Kann mir einer die Idee dahinter, den Weg (mein freund versteht den auch nicht!!) und die Lösung allgemein erklären?

beim zeiten doppelintegral soll die obere grenze sqrt(1-x^2)=w heißen! kann er irgendwie nich darstellen!

Danke

mfg

(Beitrag nachträglich am 30., Januar. 2003 von tl198 editiert)
Seitenanfangvoriger Beitragnächster BeitragSeitenende Link zu diesem Beitrag

Niels (niels2)
Suche alle Beiträge dieser Person in dieser Hauptrubrik
Erfahrenes Mitglied
Benutzername: niels2

Nummer des Beitrags: 297
Registriert: 06-2001
Veröffentlicht am Donnerstag, den 30. Januar, 2003 - 14:36:   Beitrag drucken

Hi Ferdi,

ich glaube ich habe es durchschaut:

hier nochmal der Rechenweg etwas ausführlicher, ich hoffe du checkst das System, sonst kommentiere ich es gerne.

Dop

Gruß N.
Seitenanfangvoriger Beitragnächster BeitragSeitenende Link zu diesem Beitrag

Ferdi Hoppen (tl198)
Suche alle Beiträge dieser Person in dieser Hauptrubrik
Erfahrenes Mitglied
Benutzername: tl198

Nummer des Beitrags: 296
Registriert: 10-2002
Veröffentlicht am Donnerstag, den 30. Januar, 2003 - 15:45:   Beitrag drucken

Danke Niels,

aber weist du mehr über die Idee die dahinter steht, oder warum man vom ersten zum zweiten Integral statt der 2 eine 8 als Konstante vorm Integral stehen hat?? Auch was die Gammafunktion mit dem Volumen im n-dimensionalen zu tun hat (Jacobi Formeln) würde mich interessieren!

mfg
Seitenanfangvoriger Beitragnächster BeitragSeitenende Link zu diesem Beitrag

Niels (niels2)
Suche alle Beiträge dieser Person in dieser Hauptrubrik
Erfahrenes Mitglied
Benutzername: niels2

Nummer des Beitrags: 298
Registriert: 06-2001
Veröffentlicht am Donnerstag, den 30. Januar, 2003 - 16:56:   Beitrag drucken

Hi Ferdi,

ja, ich habe es verstanden; folgendes:

z=f(x;y)=sqrt(1-x^2-y^2)

beschreibt nur die ober hälfte der Kugel.

Will man das ganze Kugelvolumen berechnen muss man das Doppelintegral mit 2 multiplizieren!

Weiter zur Theorie der Doppelintegrale:

Wir wollen Versuchen nun das Kugelvolumen mit hilfe von "rechteckiger Säulen" zu berechnen.

Änlich wie bei der Flächenberechnung mit Integralen:

Bei der Flächenberechnung summiert man Rechteckflächen auf und erhält im Fall unendlich vieler Rechteckflächen die gesuchte gesammtfläche.

Nun wollen wir das Kugelvolumen berechen indem wir die Volumina unendlich vieler "rechteckiger säulen" zu berechnen.

Dann tun wir das mal:

Die Fläche einer solchen "rechteckigen säule"

sei deltaAkdie höhe der Säule
ist zk=f(xk;yk)

Das Volumen ist :

deltaV=zk*deltaAk=f(xk;yk)*deltaAk

Nun kommt die Summation:

V=S n k=1deltaV=Sn k=1f(xk;yk)deltaAk

lassen wir nun n gegen unendlich streben strebt deltaAk=Deltaxk*deltaYk gegen Null wir schreiben dafür dA=dx*dy=dy*dx.
Falls also dieser Grenzwert existiert, so wird er als "Doppelintegral" bezeichnet und durch das symbol:

ò ò f(x;y)*dA
(A)

ò ò f(x;y)*dy*dx
(A)

soweit erstmal, Fortsetzung folgt später...

Gruß N.
Seitenanfangvoriger Beitragnächster BeitragSeitenende Link zu diesem Beitrag

Ferdi Hoppen (tl198)
Suche alle Beiträge dieser Person in dieser Hauptrubrik
Erfahrenes Mitglied
Benutzername: tl198

Nummer des Beitrags: 299
Registriert: 10-2002
Veröffentlicht am Donnerstag, den 30. Januar, 2003 - 18:47:   Beitrag drucken

Aha, langsam lichtet sich das Dunkel. Warte schon auf deinen nächsten Beitrag.

mfg
Seitenanfangvoriger Beitragnächster BeitragSeitenende Link zu diesem Beitrag

Niels (niels2)
Suche alle Beiträge dieser Person in dieser Hauptrubrik
Erfahrenes Mitglied
Benutzername: niels2

Nummer des Beitrags: 299
Registriert: 06-2001
Veröffentlicht am Donnerstag, den 30. Januar, 2003 - 20:52:   Beitrag drucken

Hi Ferdi, leider habe ich heute Abend nicht mehr genug Zeit für weitere Ausführungen. Du musst dich bis Morgen Vormittag gedulden.
Nur soviel.

Wir bewegen und wenn wir eine Funktion z=f(x;y) haben im 3D Koordinatensystem. Ein Kartesisches Koordinatensystem mit 3 Achsen, Teilt den Raum in 8 Quadranten. Da wir uns bei der Volumenberechnung der Kugel auf ein Teil der Kugel konzentrieren wollen- Bedenke dass Der Mittelpunkt der Einheitskugel M(0;0;0) also der Ursprung ist-wir wollen uns nähmlich nur Auf den Quadranten x>0;y>0=>z>0 bekommen wir bei der Volumenberechnung nur 1/8 des Vollen normalen Kugelvolumens.

Daher kommt die 8 vor das Doppelintegral!

Gruß N.

Seitenanfangvoriger Beitragnächster BeitragSeitenende Link zu diesem Beitrag

Niels (niels2)
Suche alle Beiträge dieser Person in dieser Hauptrubrik
Erfahrenes Mitglied
Benutzername: niels2

Nummer des Beitrags: 300
Registriert: 06-2001
Veröffentlicht am Freitag, den 31. Januar, 2003 - 11:10:   Beitrag drucken

So, jetzt soll es weiter gehen im kleinen "Exkurs Doppelintegrale":

Wir sind nun zu der 2. Zeile vorgestoßen:

Vk=8*ò0 1ò0 Ö(1-x²)=w sqrt(1-x^2-y^2) dydx

Die Funktion ist klar, die 8 habe ich auch erklärt. Nun zu den Grenzen:

Für

Z=f(x;y)=sqrt(1-x²-y²) gilt:

Da die Funktion nur für positive Wurzeln definiert ist-Man beachte, das wir 2 reelle Variablen x und y haben-gilt für x und y:

x²+y²=<1 bzw y²=<1-x² woraus folgt:
y=<Ö(1-x²)

D.h. wir haben in der Koordinatensystem die Intervalle
für x Element [0;1] und y in abhängigkeit von x; y Element [0;Ö(1-x²)

Im Fall y=1-x² beschreibt y den Viertelkreisbogen in der x;y Ebenen. Damit sind die Grenzen erstmal erklärt.

Nun zu unserem Volumen,
Wir machen dies Schrittweise:
Wenn wir unendlich viele Säulen in unser Kugel quetschen wollen, so tun wir dies in 2 Schritten:
Wir summieren erst alle säulen in y-Richtung auf und erhalten dann eine "Volumenscheibe" der dicke dx und Summmieren dann alle "Volumenscheiben" in x-Richtung auf und erhalten das Gesammtvolumen.

Summation bis unendlich heißt für uns Integration.
summation=Integration. Nicht um sonst nennt man Integrale auch "Summengrenzwerte".

Das heißt, wir müssen nun erstmal innen Integriren.

"Innen integrieren" bedeutet hier die Funktion
z=f(x;y) nach y zu integrieren, x spielt hier keine Rolle und hat die Funktion einer normalen Konstanten, eines Parameters und wird also wie ander konstanten in dem Funktionsterm behandelt. Alleinige Integrationsvariable ist im Moment y !

wir berechnen nun also das "Innere Integral"

ò0 Ö(1-x²)=wsqrt(1-x^2-y^2)dy

eigentlich müsste als untete Grenze y=0 und als obere Grenze y=Ö(1-x²) stehen, spielt aber hier keine Rolle. Da x bei der integration die Rolle eines Parameters also einer üblich en Konstanten übernimmt können wir Ö(1-x²)=w setzen.

unglaublicherwise ist Ö(1-x²)=w dadurch ist w²=1-x² und somit für den Ausdruck 1-x² ind die Ausgangsfunktionsgleichung einsetzbar. Und das Integrál sieht dann so aus.

ò0 wsqrt(w²-y²)dy

y ist wie gesagt die Integrationsvariable, y Element [-|w|;|w|] und w Element R{0}. Und hierzu sollte sich eine hübsche Stammfunktion finden lassen!

soweit erstmal....

Mindestenz ein Beitrag kommt noch! bis Später!

Gruß N.








Seitenanfangvoriger Beitragnächster BeitragSeitenende Link zu diesem Beitrag

Niels (niels2)
Suche alle Beiträge dieser Person in dieser Hauptrubrik
Erfahrenes Mitglied
Benutzername: niels2

Nummer des Beitrags: 301
Registriert: 06-2001
Veröffentlicht am Freitag, den 31. Januar, 2003 - 11:37:   Beitrag drucken

Ich habe es mir anders überlegt, was haltet ihr davon, wenn das Thema noch ein wenig ausgedehnt wird. Mit Mehrfachintegralen kann man tolle sachen machten-nicht nur volumina betechnen!

Mir schwebt vor beispielsweise die Kreisfläche und Ellipsenfläche per Doppelintegral zu berechenn. Was denkt ihr darüber? Wolle nwir die Kreisfläche mit 2 Integralen in die Zange nehmen und zerquetschen?

Gruß N.

Seitenanfangvoriger Beitragnächster BeitragSeitenende Link zu diesem Beitrag

Ferdi Hoppen (tl198)
Suche alle Beiträge dieser Person in dieser Hauptrubrik
Erfahrenes Mitglied
Benutzername: tl198

Nummer des Beitrags: 301
Registriert: 10-2002
Veröffentlicht am Freitag, den 31. Januar, 2003 - 11:59:   Beitrag drucken

Also,

erst einmal möchte ich dir für deine Ausführliche Erklärungen danken! Nun haben Mehrfachintegrale auch einen Sinn für mich!

Ich würde es begrüßen den Exkurs noch weiter auszudehnen! Man kann nie genug wissen!

mfg
Seitenanfangvoriger Beitragnächster BeitragSeitenende Link zu diesem Beitrag

Niels (niels2)
Suche alle Beiträge dieser Person in dieser Hauptrubrik
Erfahrenes Mitglied
Benutzername: niels2

Nummer des Beitrags: 302
Registriert: 06-2001
Veröffentlicht am Freitag, den 31. Januar, 2003 - 13:04:   Beitrag drucken

Hi Ferdi,

no Problem, mach ich doch gerne!

Weiter gehts im Text:

ò0 w sqrt(w²-y²)dy

Eine Stmaafunktion ist:

(y/2)*Ö(w²-y²)+(w²/2)*arcsin(y/w)

setzt man obere Grenze W ein so ergibt der Term

(w²/2)*arcsin(1)=(w²/2)*(p/2)=w²*p/4

für untere Grenze 0 in die Stammfunktion eingesetzt wird der Term Null. Es bleibt also nur das Integral:

ò0 1w²*p/4 dx übrig.

Den Faktor p/4 können wir vor das Integrla ziehen und mit der 8 die immer noch bei uns im Hinterkopfrumschwirrt verrechnen. Ergebnis:

vk=2p*ò0 1w² dx

Nun wissen wir das w²=1-x² gilt. für w bekommen wir also eine Funktion mit variable x.

vk=2p*ò0 1(1-x²)dx

Und das einfache Integral berechnent ergibt mit 2\greek7p} multipliziert das Kugelvolumen der Einheitskugel, nämlich (4/3)*pi !

q.e.d
================================================

Anmerkungen:

Wir erwitern die Aufgabe und wollen das Volumen einer allgemeinen Kugel auf analoge weise herleiten. Dazu sind nur ein paar "Modifikationen" notwendig.

mehr dazu später!

N.





Seitenanfangvoriger Beitragnächster BeitragSeitenende Link zu diesem Beitrag

Ferdi Hoppen (tl198)
Suche alle Beiträge dieser Person in dieser Hauptrubrik
Erfahrenes Mitglied
Benutzername: tl198

Nummer des Beitrags: 302
Registriert: 10-2002
Veröffentlicht am Freitag, den 31. Januar, 2003 - 13:30:   Beitrag drucken

Hi Niels,

ich kann es mir schon denken!

wir nehmen einfach die Kugel x^2+y^2+z^2=r^2

und schreiben dann mit Ö(r^2-x^2)=t

8*ò0 r ò0 t Ö(t^2-y^2) dydx

das liefert dann das wohl bekannte (4/3)pi*r!!

Naja, freue mich auf deine weiteren ausführungen!

mfg
Seitenanfangvoriger Beitragnächster BeitragSeitenende Link zu diesem Beitrag

Ferdi Hoppen (tl198)
Suche alle Beiträge dieser Person in dieser Hauptrubrik
Erfahrenes Mitglied
Benutzername: tl198

Nummer des Beitrags: 303
Registriert: 10-2002
Veröffentlicht am Freitag, den 31. Januar, 2003 - 22:23:   Beitrag drucken

uups,

ich seh grad in meinen unterlagen, das sich da ein schreibfehler eingeschlichen hat!

es muss natürlich heißen (4/3)*p*r^3.

ich warte schon auf deine anregungen bezüglich doppelintegralen und ellipsen!

mfg
Seitenanfangvoriger Beitragnächster BeitragSeitenende Link zu diesem Beitrag

Niels (niels2)
Suche alle Beiträge dieser Person in dieser Hauptrubrik
Erfahrenes Mitglied
Benutzername: niels2

Nummer des Beitrags: 303
Registriert: 06-2001
Veröffentlicht am Freitag, den 31. Januar, 2003 - 22:37:   Beitrag drucken

Hi Ferdi,

du hast vollkommen recht mit deinem Ansatz!

Hier habe ich nochmal den Rechenweg komplett aufgeschrieben- die Modifikationen müßten einem im Vergleich zur Rechnung für die Einheitskugel auffallen...

doppelint2

Wie erwünscht kommt das alt bekannte Ergebnis heraus!

Im nächsten Beitrag sind noch ein paar allgemeine Anmerkungen zur Berechnung von Doppelintegralen vorgesehen und dann denke ich kommen wir zur Flächenberechnung.

Bis dann.

Gruß N.
Seitenanfangvoriger Beitragnächster BeitragSeitenende Link zu diesem Beitrag

Niels (niels2)
Suche alle Beiträge dieser Person in dieser Hauptrubrik
Erfahrenes Mitglied
Benutzername: niels2

Nummer des Beitrags: 304
Registriert: 06-2001
Veröffentlicht am Samstag, den 01. Februar, 2003 - 10:36:   Beitrag drucken

Hi Ferdi,

was hiltest du davon das Volumen eines Ellipsoiden per Doppelintegral zu berechnen?

Und nachdem wir dann ein paar Flächen berechnet haben könnten wir noch weiter gehen.

Wir könnten mit folgender Aufgabe den Vogel anschießen.

Berechnung des Volumens einer Kugel per "Dreifachintegral"...

Gruß N.
Seitenanfangvoriger Beitragnächster BeitragSeitenende Link zu diesem Beitrag

Niels (niels2)
Suche alle Beiträge dieser Person in dieser Hauptrubrik
Erfahrenes Mitglied
Benutzername: niels2

Nummer des Beitrags: 305
Registriert: 06-2001
Veröffentlicht am Samstag, den 01. Februar, 2003 - 13:39:   Beitrag drucken

H Ferdi, nun folgen ein paar allgemeine Anmerkungen zur Berechnung von Doppelintegralen:

Anmerkungen
°°°°°°°°°°°°°°°°°°°°°°°°°°°°°°°°°°
1]

Bei der Integration eines Doppelintegrals wird von innen nach außen Integriert.
ob zuerst nach y oder x integriert wird hängt von der Reinfolge der differentiale ab.
Das Integral

òx=a bòy=fu(x) fo(x)f(x;y)dydx

wird wiefolgt Integriert:

òx=a bòy=fu(x) fo(x)f(x;y)dydx

erst wird also das rote innere Integral nach y integriert. Die Grenzen des inneren roten Integrals sind Funktionen in x. wobei x als konstante angesehen wird. Danach wir das Blaue Integral gelöst. Die Grenzen des Blauen äußere Integrals sind dormale konstanten, Zahlen.

Das Integral:

òy=a bòx=gu(y) go(y)f(x;y)dxdy

wird wiefolgt berechnet:

òy=a bòx=gu(y) go(y)f(x;y)dxdy

Bei diesem Integral wird erst das rote innere Integral nach x integriert. Die Grenzen des roten Integrals sind normalerweise Funktionen in y, wobei y als konstanter Paramerter angesehen wird. Danach wird das blaue aüßere Integral nach y integriert. Die Grenzen sind wieder normale Zahlen, sprich Konstanten.

wie gesagt, die Reihenfolge wonach zuerst Integriert wird hängt von der Reihenfolge der Differenztiale des Doppelintegrals ab.

2] Die Reihenfolge der Integration ist auch nicht vvertauschbar. Wenn man die hintereinanderausführung der Integrationen vertauschen möchte ist es im Regelfall notwendig, das die Integrationsgrenzen neu bestimmt werden.
Eine Außnahme liegt vor, wenn alle Integrationsgrenzen normale Zahlen, sprich Konstanten sind, dann wird nämlich über einem "rechteckigen Integrationsbereich" integriert.

soviel zur Theorie!

°°°°°°°°°°°°°°°°°°°°°°°°°°°°°°°°°°°°°°°°°
Mit freundlichen Grußen

N.
Seitenanfangvoriger Beitragnächster BeitragSeitenende Link zu diesem Beitrag

Ferdi Hoppen (tl198)
Suche alle Beiträge dieser Person in dieser Hauptrubrik
Erfahrenes Mitglied
Benutzername: tl198

Nummer des Beitrags: 304
Registriert: 10-2002
Veröffentlicht am Samstag, den 01. Februar, 2003 - 15:47:   Beitrag drucken

Ich hab hoit wenig Zeit, aber mich interriest das schon. Ich hatte letztens erts eine Paraboloidaufgabe, da kann ein Ellipsoid nicht schaden! Also von mir aus kanns losgehen!!!

mfg
Seitenanfangvoriger Beitragnächster BeitragSeitenende Link zu diesem Beitrag

Niels (niels2)
Suche alle Beiträge dieser Person in dieser Hauptrubrik
Erfahrenes Mitglied
Benutzername: niels2

Nummer des Beitrags: 306
Registriert: 06-2001
Veröffentlicht am Samstag, den 01. Februar, 2003 - 19:43:   Beitrag drucken

Hi Ferdi,

schön, dann wollen wir uns an den Ellipsoid machen.

Wenn wir früher Ellipsoidenvolumina berechnet haben, so waren dies spezielle "Rotationsellipsoide". Entweder haben wir eine Normale Ellipse mit der Gleichung

(x²/a²)+(y²/b²)=1

um die x-Achse rotieren lassen- Das Volumen war dann

V=(4/3)pab²

um die y-Achse rotieren lassen- Das Volumen war
dann

V=(4/3)pa²b

Aber wie gesagt, das sind kein "Normaler Ellipsoid".

ein Normaler Ellipsoid hat die Gleichung:

(x²/a²)+(y²/b²)+(z²/c²)=1

wenn wir diese Gleichung nach z auflösen, dann erhalten wir folgende Funktionsgleichung:

z=f(x;y)=sqrt(c²-(c²/a²)*x²-(c²/b²)*y²)

Nun erhalten wir das Volumen auf ähnlichen Wege wie bei der Kugel.

VEll=2*ò ò sqrt(c²-(c²/a²)*x²-(c²/b²)*y²)dydx

vEll=8*ò0 aò0 y=(b/a)*sqrt(a²-x²)sqrt(c²-(c²/a²)*x²-(c²/b²)*y²)dydx

VEll=8c*ò0 aò0 y=(b/a)*sqrt(a²-x²)=wsqrt(1-(x²/a²)-(y²/b²))dydx

da Nun

(b/a)*sqrt(a²-x²)=w
(b²/a²)*(a²-x²)=w²
b²-(b²/a²)*x²=w²
1-(x²/b²)=w²/b²

VEll=8c*ò0 aò0 wsqrt((w²/b²)-(y²/b²))dydx
vEll=(8c/b)*ò0 aò0 wsqrt(w²-y²)dydx
vEll=(2pc/b)*ò0 aw² dx
vEll=(2pc/b)*(2/3)a*b²=(4/3)pabc

Voila;

Ich hoffe die Rechnung ist nach den vorhergehenden Beiträgen nachvollziebar!

Und das Ergebnis stellt uns auch zufrieden.

Für unsere Rotationselleipsoide gilt eben der Sonderfall das b=c oder a=c ist.

================================================

bis Später

Gruß N.










Seitenanfangvoriger Beitragnächster BeitragSeitenende Link zu diesem Beitrag

Ferdi Hoppen (tl198)
Suche alle Beiträge dieser Person in dieser Hauptrubrik
Erfahrenes Mitglied
Benutzername: tl198

Nummer des Beitrags: 305
Registriert: 10-2002
Veröffentlicht am Sonntag, den 02. Februar, 2003 - 01:08:   Beitrag drucken

Hi Niels,

ein würdiger abschluss des tages für mich! zuerst schien mir diese rechnung sehr konfus, aber als ich sie grade selbst zu meinen unterlagen getragen hab, war es dann doch eindeutig und sinnvoll! meiner meinung nach ist dieses thema auch gar nicht zu schwierig für mathe lk!

naja, danke erst mal für alles bis jetzt, freue mich schon auf weitere beiträge!

mfg

ps: auch dein dreifachintegral interessiert mich...
Seitenanfangvoriger Beitragnächster BeitragSeitenende Link zu diesem Beitrag

Niels (niels2)
Suche alle Beiträge dieser Person in dieser Hauptrubrik
Erfahrenes Mitglied
Benutzername: niels2

Nummer des Beitrags: 307
Registriert: 06-2001
Veröffentlicht am Sonntag, den 02. Februar, 2003 - 11:09:   Beitrag drucken

Hi Ferdi,

dir wird sicher ein Tippfehler aufgefallen sein. es muss heißen:

(b/a)*sqrt(a²-x²)=w
(b²/a²)*(a²-x²)=w²
b²-(b²/a²)*x²=w²
1-(x²/a²)=w²/b²

mit dem Ergebnis habe ich auch weitergerechnet-sprich eingesetzt.

War wie gesagt nur ein Tippfehler im computer, dier Rechnung ist aber ansonsten korrekt!

Bis Später

Gruß N.


Seitenanfangvoriger Beitragnächster BeitragSeitenende Link zu diesem Beitrag

Ferdi Hoppen (tl198)
Suche alle Beiträge dieser Person in dieser Hauptrubrik
Erfahrenes Mitglied
Benutzername: tl198

Nummer des Beitrags: 306
Registriert: 10-2002
Veröffentlicht am Sonntag, den 02. Februar, 2003 - 20:08:   Beitrag drucken

Es war wohl doch wieder einmal ein wenig spät gestern abend! Naja, vielen Dank für deinen Hinweis. Irgendwie bin ich den ganzen Tag nicht ins Forum gekommen!

Naja, mann müsste ja diese Rechnung auch simultan bei Paraboloiden und Hyperboloiden durchführen können?

Naja, würde mich zum Abschluss auf ein Dreifachintegral zur Voluminaberechnung bei Kugeln freuen!

mfg
Seitenanfangvoriger Beitragnächster BeitragSeitenende Link zu diesem Beitrag

Niels (niels2)
Suche alle Beiträge dieser Person in dieser Hauptrubrik
Erfahrenes Mitglied
Benutzername: niels2

Nummer des Beitrags: 308
Registriert: 06-2001
Veröffentlicht am Sonntag, den 02. Februar, 2003 - 20:13:   Beitrag drucken

Hi Ferdi,

nu soll es um den Flächeninhalt gehen.

für f(x;y)=1 Beschreibt das Doppelintegral

òx=a bòy=fu(x) f0(x)dydx

das Volumen eines Zylinders mit der Höhe z=1 . Dieser Volumenbetrag ist aber Identisch mit dem Flächeninhalt der von den Funktionen y=fu(x) und y=fo(x) in den Grenzen von x=a und x=b begrenzt wird.

Beispiel aus früheren Zeiten.

Dder Würfel hat das Volumen V=a³ und die Grundfläche G=a². Für a=1 ist der Betrag des Volumens mit dem Betrag der Grundfläche überein.

Noch ein Beispiel:

Ein Zylinder hat das Volumen V=pr²*h und die Grundfläche G=pr². Für h=1 ist Der Betrag des Volumens identisch mit dem Betrag der Grundfläche.

So viel zum Verständnis. Morgen mehr.

Gruß N.

Seitenanfangvoriger Beitragnächster BeitragSeitenende Link zu diesem Beitrag

Leif (beckx)
Suche alle Beiträge dieser Person in dieser Hauptrubrik
Junior Mitglied
Benutzername: beckx

Nummer des Beitrags: 7
Registriert: 01-2003
Veröffentlicht am Montag, den 03. Februar, 2003 - 14:04:   Beitrag drucken

Hi ihr beiden,

ich hab gerade mal eure Beiträge überflogen. Ohne Verwirrung stipften zu wollen schreib ich euch mal wie ich das Volumen einer Kugel bestimmen würde.

Volumenintegral einer Vollkugel in Polarkoordinaten:
p=phi
t=tetta
Int(x->y) sprich: Integral von x bis y

V=Int(0->R)dr Int(0->2pi)dp Int(0->pi)dt r² sin(t)

(r²sin(t))dr dp dt bezeichnet man als Volumenelement. Leider müsste ich eine Zeichnung dazu erst einscannen, doch ich glaube das sprengt den Rahmen hier...

Teilintgrale (in Kürze):
Int(0->R) r² dr = 1/3 R³
Int(0->2pi)dp = 2pi
Int(0->pi) sin(t) dt=-cos(t)|(o->pi)= 2

=> V= 4/3 pi R³

MFG

Leif
Seitenanfangvoriger Beitragnächster BeitragSeitenende Link zu diesem Beitrag

Niels (niels2)
Suche alle Beiträge dieser Person in dieser Hauptrubrik
Erfahrenes Mitglied
Benutzername: niels2

Nummer des Beitrags: 309
Registriert: 06-2001
Veröffentlicht am Montag, den 03. Februar, 2003 - 15:36:   Beitrag drucken

Hi Leif,

du hast vollkommen recdht.

Aber soweit waren wir bei diesem öffentlichen exkurs noch nicht. Wir müssten dann uns anschauen, wie man 3D-Funktionen in Polarkoordinaten integriert. Wenn erwünscht unterhalten wir uns darüber später.

Gruß N.
Seitenanfangvoriger Beitragnächster BeitragSeitenende Link zu diesem Beitrag

Ferdi Hoppen (tl198)
Suche alle Beiträge dieser Person in dieser Hauptrubrik
Erfahrenes Mitglied
Benutzername: tl198

Nummer des Beitrags: 309
Registriert: 10-2002
Veröffentlicht am Montag, den 03. Februar, 2003 - 16:18:   Beitrag drucken

Hi Niels,

ich bin jetzt wieder voll dabei. Hab jetzt alles noch mal durchgearbeitet. Es kann weiter gehen. In Polarkoordinaten muss ich mich erst noch einarbeiten, aber das dürfte kein Problem sein!

mfg
Seitenanfangvoriger Beitragnächster BeitragSeitenende Link zu diesem Beitrag

Niels (niels2)
Suche alle Beiträge dieser Person in dieser Hauptrubrik
Erfahrenes Mitglied
Benutzername: niels2

Nummer des Beitrags: 310
Registriert: 06-2001
Veröffentlicht am Montag, den 03. Februar, 2003 - 19:44:   Beitrag drucken

Gut,

also zur Flächenberechnung:

Wir gehen wieder nach dem "Baukastenprinzip" vor.

Wir setzen den Flächeninhalt aus infinizialen kleinen Flächenstücken dA=dy*dx zusammen.

Wir betrachten nun einen in der von y=fu(x) und fo(x) begrenzen parallel zur y-Achse liegendne "Flächenstreifen".
Wir erhalten die Fläche dieses Streifen indem wir alle Flächenstücke in y-Achse aufsummieren-sprich nach y zwischen fu als untere und fo als obere Grenze integrieren.

dAStreifen=(òy=fu(x) fo(x)dy)dx

Wir haben nun die Fläche eines Streifens der Breite dx berechnet. Nun summieren wir alle Streifen in x-Richtung zwischen x=a und x=b auf, sprich wir integrieren in x Richtung und erhalten die Gesammtfläche.

Ages=
ò ò dA
(A)
=
òx=a bdAstreifen
=
òx=a bòy=fu(x) fo(x)dydx

===============================================

Was das Für die Kreisfläche und Ellipsenfläche(Ellipse M(0;0)) bedeutet kann sich der geneigte Leser selbst vorstellen. Die Doppelintegrale lauten:

Kreisfläche:

AKreis=4*ò0 rò0 y=Ö(r²-x²)dydx

und

Aell=ò0 aò0 y=(b/a)*Ö(a²-x²)dy*dx

Wie gesagt die Berechnung nach obigen Schema ist dem intetessierten leser überlassen. Das Ergebnis ist aber eindeutig das gleiche wie Bei der normalen Kreisflächenberechnung oder Ellipsenflächenberechnung.

=================================================

Übrigens, diese "Technik" des Zerlegens von Mehrfachintegralen in mehrere einfache Integrationen hat auch einen Namen. Was wir dort gerade machen ist die Anwendung des "Satz von Fubini".

Bis Später!

Gruß N.
Seitenanfangvoriger Beitragnächster BeitragSeitenende Link zu diesem Beitrag

Ferdi Hoppen (tl198)
Suche alle Beiträge dieser Person in dieser Hauptrubrik
Erfahrenes Mitglied
Benutzername: tl198

Nummer des Beitrags: 310
Registriert: 10-2002
Veröffentlicht am Montag, den 03. Februar, 2003 - 20:55:   Beitrag drucken

Hi Niels,

ich als sehr interessierter Leser habe die Integrale berechnet! Für den Kreis habe ich die wohlbekannte Formel A=p*r² erhalten.

Für die Ellipse müssen wir das Doppelintegral noch mit 4 multiplizieren, da wir ja alle 4 Quadranten erwischen wollen. Ich erhalte wieder den alten bekannten: A=p*a*b!!

Freue mich auf weitere Beiträge!

mfg
Seitenanfangvoriger Beitragnächster BeitragSeitenende Link zu diesem Beitrag

Niels (niels2)
Suche alle Beiträge dieser Person in dieser Hauptrubrik
Erfahrenes Mitglied
Benutzername: niels2

Nummer des Beitrags: 311
Registriert: 06-2001
Veröffentlicht am Dienstag, den 04. Februar, 2003 - 07:47:   Beitrag drucken

Hi Ferdi,

stimmt natürlich, die 4 hatte ich bei der Ellipse glatt vergessen. Aber zum glück hast du ja aufgepasst!

Gruß N.
Seitenanfangvoriger Beitragnächster BeitragSeitenende Link zu diesem Beitrag

Niels (niels2)
Suche alle Beiträge dieser Person in dieser Hauptrubrik
Erfahrenes Mitglied
Benutzername: niels2

Nummer des Beitrags: 312
Registriert: 06-2001
Veröffentlicht am Dienstag, den 04. Februar, 2003 - 15:09:   Beitrag drucken

Hi Ferdi,

Mein weiterer Exkursplan sieht wie folgt aus:

wir schauen wiw wir Doppelintegrale in Polarkoordinaten berechnen (Allgemein)

Als Beispielaufgabe wollwn wir den Flächeninhalt der Kardioide berechen.

Danach Einführung von Dreifachintegralen und deren Berechnung in Kartesischer und Kugelkoordinatenform bzw Zylinderkoordinaten.

Gruß N.
Seitenanfangvoriger Beitragnächster BeitragSeitenende Link zu diesem Beitrag

Ferdi Hoppen (tl198)
Suche alle Beiträge dieser Person in dieser Hauptrubrik
Erfahrenes Mitglied
Benutzername: tl198

Nummer des Beitrags: 311
Registriert: 10-2002
Veröffentlicht am Dienstag, den 04. Februar, 2003 - 15:48:   Beitrag drucken

Alles klar! Kann losgehen!

mfg
Seitenanfangvoriger Beitragnächster BeitragSeitenende Link zu diesem Beitrag

Niels (niels2)
Suche alle Beiträge dieser Person in dieser Hauptrubrik
Erfahrenes Mitglied
Benutzername: niels2

Nummer des Beitrags: 313
Registriert: 06-2001
Veröffentlicht am Dienstag, den 04. Februar, 2003 - 17:25:   Beitrag drucken

Hi Ferdi,

wie sind den deine Kentnisse über Polarkoordinaten etc.?

sollen wir noch tifer ins Detail gehen oder gleich los integrieren?

Gruß N.
Seitenanfangvoriger Beitragnächster BeitragSeitenende Link zu diesem Beitrag

Ferdi Hoppen (tl198)
Suche alle Beiträge dieser Person in dieser Hauptrubrik
Erfahrenes Mitglied
Benutzername: tl198

Nummer des Beitrags: 314
Registriert: 10-2002
Veröffentlicht am Dienstag, den 04. Februar, 2003 - 20:28:   Beitrag drucken

also,

ich denke wir könen sofort loslegen,
falls schwiriegkeiten auftreten,
kann ich mich ja melden,
aber ich denke es sollte klappen!

mfg
Seitenanfangvoriger Beitragnächster BeitragSeitenende Link zu diesem Beitrag

Niels (niels2)
Suche alle Beiträge dieser Person in dieser Hauptrubrik
Erfahrenes Mitglied
Benutzername: niels2

Nummer des Beitrags: 318
Registriert: 06-2001
Veröffentlicht am Mittwoch, den 05. Februar, 2003 - 18:05:   Beitrag drucken

Hi Ferdi,

gut, dann starten wir durch:

die "Transformationsformel" also die Umrechnungsformeln von x;y Koordinatensystem ins r;f Koordinatensystem sind dir wohl bekannt.

f(x;y)=f(r*cosf;r*sinf)=f(r;f)

Nun schauen wir uns den Integrationsbereich an:

Er wird durch 2 Strahlen f1 und f2 sowie 2 Kurven ri=ri(f) und ra=ra(f) begrenzt.

Das Flächenstück dA wird im Polarkoordinaten von 2 infinitial benachbarten Kreisen mit Radius r und r+dr und 2 infinitial benachbarten Strahlen f und f+df beschrieben. Daher gilt:

dA=rdrdf

Für ein Doppelintegral gilt daher:

ò ò f(x;y)dydx
(A)

=òf1 f2òri=ri(f) ra=ra(f)f(r*cosf;r*sinf)*r*drdf


=òf1 f2òri=ri(f) ra=ra(f)f(r;f)*r*drdf

Bei den Flächenberechnung machen wir analoge überlegungen wie bei den Kartesischen Koordinaten und kommen schmell zum Schluß, das für die Fläche gilt:

=òf1 f2òri=ri(f) ra=ra(f)r*drdf

Damit können wir ohne weiteres Den Flächeninhalt der Kardioide ohne Probleme berechnen.

Gruß N.






Seitenanfangvoriger Beitragnächster BeitragSeitenende Link zu diesem Beitrag

Niels (niels2)
Suche alle Beiträge dieser Person in dieser Hauptrubrik
Erfahrenes Mitglied
Benutzername: niels2

Nummer des Beitrags: 319
Registriert: 06-2001
Veröffentlicht am Mittwoch, den 05. Februar, 2003 - 19:34:   Beitrag drucken

Hi Ferdi,

Wenn du willst können wir in unseren Exkurs ein kleines Leckelie zu Gemüte führen. Ich spreche von der Riemanschen Zetafunktion- Besser gesagt der Beweis, das

S¥ n>=1(1/n²)=p²/6

ist, natürlich per Doppelintegral.

Was hällst du von dem Vorschlag?

Gruß N.
Seitenanfangvoriger Beitragnächster BeitragSeitenende Link zu diesem Beitrag

Ferdi Hoppen (tl198)
Suche alle Beiträge dieser Person in dieser Hauptrubrik
Erfahrenes Mitglied
Benutzername: tl198

Nummer des Beitrags: 323
Registriert: 10-2002
Veröffentlicht am Mittwoch, den 05. Februar, 2003 - 21:57:   Beitrag drucken

Niels,

du hast wohl alles parat! Also ich bin für alles offen, da im Moment in der Schule nix los ist, kann ich viel zu Hause arbeiten!

mfg

ps: wie lang doch dieser thread schon ist....
Seitenanfangvoriger Beitragnächster BeitragSeitenende Link zu diesem Beitrag

Ferdi Hoppen (tl198)
Suche alle Beiträge dieser Person in dieser Hauptrubrik
Erfahrenes Mitglied
Benutzername: tl198

Nummer des Beitrags: 325
Registriert: 10-2002
Veröffentlicht am Donnerstag, den 06. Februar, 2003 - 06:57:   Beitrag drucken

Halt,

meinst du das Doppelintegral

ò0 1 ò0 1 1/(1-x*y)dxdy?

Wenn ja, dann brauchst du es nicht zeigen, ansonsten kanns weiter gehen!

mfg
Seitenanfangvoriger Beitragnächster BeitragSeitenende Link zu diesem Beitrag

Niels (niels2)
Suche alle Beiträge dieser Person in dieser Hauptrubrik
Erfahrenes Mitglied
Benutzername: niels2

Nummer des Beitrags: 320
Registriert: 06-2001
Veröffentlicht am Donnerstag, den 06. Februar, 2003 - 12:02:   Beitrag drucken

Hi Ferdi,

du hast mich ertappt!

Ein Motto von mir ist:

"Man muss nicht alles wissen, man muss nur wissen wo alles drin steht."

Anscheinend hast du auch das "Buch der Beweise" buchstäblich im Regal stehen.

Sonst hätte ich dir das Werk empholen.

Nun gut, dann geht es mit den buchstäblich herzergreifenden Kardioiden weiter.

Bekanntlich sind Kardioiden "Herzkurven" - Icdh muss dabei immer an den Kardiologen im Krankenhaus denken:-)

Übrigens:

Bei uns an der Schule im LK ist es nicht anders. "Warten bis das Abi kommt" so könnte man die Stimmung derzeit beschreiben. und sonst passiert recht wenig.

Gruß N.
Seitenanfangvoriger Beitragnächster BeitragSeitenende Link zu diesem Beitrag

Ferdi Hoppen (tl198)
Suche alle Beiträge dieser Person in dieser Hauptrubrik
Erfahrenes Mitglied
Benutzername: tl198

Nummer des Beitrags: 328
Registriert: 10-2002
Veröffentlicht am Donnerstag, den 06. Februar, 2003 - 12:49:   Beitrag drucken

Ja,

das war der einzige gute Tipp den mein Mathelehrer mir in den letzten Jahren gegeben hat! Das Buch ist echt ein kleines Schätzchen!

Bin schon auf die Herzkurven gespnnt!

mfg
Seitenanfangvoriger Beitragnächster BeitragSeitenende Link zu diesem Beitrag

Niels (niels2)
Suche alle Beiträge dieser Person in dieser Hauptrubrik
Erfahrenes Mitglied
Benutzername: niels2

Nummer des Beitrags: 321
Registriert: 06-2001
Veröffentlicht am Donnerstag, den 06. Februar, 2003 - 18:38:   Beitrag drucken

Hi Ferdi,

bevor wir zu den Herzkurven kommen sollten wir uns vorher noch einmal der Substitutionsregel für Doppelintegrale anschauen. Besser bekannt unter der Jacobi-Determinante.

Wir wollen uns sie erstmal anschauen.

doppelintsub

Du kennst den Text aus dem Buch der Beweise.
Wir wollen die Regelung nutzen um nochmal die Formeln herzuleiten, die wir für Polarkoordinaten barauchen.

Bei uns ist:

x(u;v)=x(r;f)=r*cosf
y(u;v)=y(r;f)=r*sinf

Wir differenzieren partiell.

dx/du=cosf
dx/dv=-r*sinf
dy/du=sinf
dy/dv=r*cosf

Bilden die Jacobi Determinante nach angegebenen Schema und erhalten das verblüffende Ergebnis r .

Damit könnten wir den Gedankengang den wir bei der Herleitung von der Polarkoordinatenformel verwendet haben sehr einfsch nachvollziehen.

Es sollte wie gesagt nur ein kleiner Nachklapp werden.

Gruß N.

Seitenanfangvoriger Beitragnächster BeitragSeitenende Link zu diesem Beitrag

Ferdi Hoppen (tl198)
Suche alle Beiträge dieser Person in dieser Hauptrubrik
Erfahrenes Mitglied
Benutzername: tl198

Nummer des Beitrags: 333
Registriert: 10-2002
Veröffentlicht am Sonntag, den 09. Februar, 2003 - 15:41:   Beitrag drucken

Hi Niels,

ich bin wieder da aus meinem super Kurzurlaub. Falls du noch Lust hat können wir weiter machen mit Doppelintegralen und der Herzkurve!

mfg
Seitenanfangvoriger Beitragnächster BeitragSeitenende Link zu diesem Beitrag

Niels (niels2)
Suche alle Beiträge dieser Person in dieser Hauptrubrik
Erfahrenes Mitglied
Benutzername: niels2

Nummer des Beitrags: 323
Registriert: 06-2001
Veröffentlicht am Montag, den 10. Februar, 2003 - 11:45:   Beitrag drucken

Hi Ferdi,

wann der Exkurs fortgestzt wird hängt im Moment nicht von mir sondern von meinem Arzt ab. Ich muss zwar nicht zum Kardiolo9gen *g* , dber immerhin zum Hausarzt um mir Mittelchen gegen eine schwere Grippe zu besorgen.
Vielleicht kann ich Morgen früh den Beitrag lencieren.

Bis dann.

Gruß N.
Seitenanfangvoriger Beitragnächster BeitragSeitenende Link zu diesem Beitrag

Niels (niels2)
Suche alle Beiträge dieser Person in dieser Hauptrubrik
Erfahrenes Mitglied
Benutzername: niels2

Nummer des Beitrags: 325
Registriert: 06-2001
Veröffentlicht am Dienstag, den 11. Februar, 2003 - 09:38:   Beitrag drucken

Hi Ferdi,

es geht weiter:

die Gleichung der Kardioide-jedenfalls eine der möglichen Gleichungen der Kardioide-lautet:

r=2a*(1-cosf)

Für den Flächeninhalt der Kardioide gilt:

A=ò0 2p ò0 2a*(1-cosf)r*drdf
A=2a²*ò0 2p(1-cosf)²df

A=2a²ò0 2p(1-2cosf+cos²f)df

A=6p
================================================

Übrigens, das Thema Kardioide wurde hier im Board schon einmal behandelt. Damals aber ging es um Einfachintegrale. Der Beitrag findet sich im Archiv, genauso wie dieser Beitrag mittlerweile im Archiv ein Plätzchen gefunden hat.
Damals war das ein Beitrag von H.R. Moser!

Hier ein Ausschnitt:

[...]
kardi01
[...]
kardi02
[...]

Gruß N.
Seitenanfangvoriger Beitragnächster BeitragSeitenende Link zu diesem Beitrag

Ferdi Hoppen (tl198)
Suche alle Beiträge dieser Person in dieser Hauptrubrik
Erfahrenes Mitglied
Benutzername: tl198

Nummer des Beitrags: 346
Registriert: 10-2002
Veröffentlicht am Dienstag, den 11. Februar, 2003 - 12:26:   Beitrag drucken

Hi Niels,

ich habe leider keinen Archiv Zugang. Ich habe nur einen Artikel bestaunen dürfen, die anderen bleiben mir alle versperrt!

Ich habe auch mal wieder ein wenig rumgeforscht, und eine allgemeine Gleichung gefunden:

r=a*cos(f)+b

Ich habe versucht dies in kartesische Koordinaten zu übertragen, es ist mir nicht gelungen, es stand nur angegeben: (x^2+y^2-ax)^2=b^2(x^2+y^2)

Der Flächeninhalt ergibt sich hierfür allgemein:

A=[(p*a^2)/2]+p*b^2

Also für deine Kardiodie mit b=2a und a=2a sofort
A=6*p*a^2

Man kann doch theoretisch auch mit den kartesichen Koordinaten integrieren, schaut mir nur ein wenig umständlich aus?

mfg
Seitenanfangvoriger Beitragnächster BeitragSeitenende Link zu diesem Beitrag

Ferdi Hoppen (tl198)
Suche alle Beiträge dieser Person in dieser Hauptrubrik
Erfahrenes Mitglied
Benutzername: tl198

Nummer des Beitrags: 348
Registriert: 10-2002
Veröffentlicht am Dienstag, den 11. Februar, 2003 - 14:04:   Beitrag drucken

Hi,

ich noch mal. Hab grad mal versucht das kartesische aufzulösen und zu integrieren, kann man Vergessen, da kommt so ein mega ausdruck raus.

Naja, da is auch noch ein Vorzeichenfehler in meinem letzten Beitrag: es muss heißen für a=-2a kommt sofort das gewünschte ergebniss!

Man kann doch dann den Flächeninhalt eines Kreises berechnen durch:

ò0 rò-p p r dfdr

Dies liefert das Wohlbeannte p*r^2!

Hast du sonst noch irgendwelche schönen Doppelintegrale? Sonst könnten wir ja noch kurz zum Dreifachintegralübergehen?

mfg
Seitenanfangvoriger Beitragnächster BeitragSeitenende Link zu diesem Beitrag

Niels (niels2)
Suche alle Beiträge dieser Person in dieser Hauptrubrik
Erfahrenes Mitglied
Benutzername: niels2

Nummer des Beitrags: 332
Registriert: 06-2001
Veröffentlicht am Mittwoch, den 12. Februar, 2003 - 13:47:   Beitrag drucken

Hi Ferdi,

a) Grundsätzlich sind Kardioide, wie andere algebraische Kurven, auch nicht nur in Polarkoordinatenform, sondern auch in Kartesischer oder Parameterform darstellbar.

Die Fläche muss also auch mit der Kartesische Form etc berechenbar sein. Nur sind diese Wege meist viel komplizierter.

b) Natürlich könnten wir noch diverse Doppelintegrale durchrechnen. Es gäbe da noch zahlreiche algebraische Kurven, oder man hätten noch diverse Kugelteile berechnen können.
Ich wäre auch dafür zu den Dreifachintegralen zu schreiten, auch wenn der Teil wirklich schwirig wird, weil im Gegensatz zu Doppelintegralen Dreifachintegrale im Allgemeinen keine geometrisch Anschauliche Bedeutung mehr haben.

Gruß N.
Seitenanfangvoriger Beitragnächster BeitragSeitenende Link zu diesem Beitrag

Ferdi Hoppen (tl198)
Suche alle Beiträge dieser Person in dieser Hauptrubrik
Erfahrenes Mitglied
Benutzername: tl198

Nummer des Beitrags: 354
Registriert: 10-2002
Veröffentlicht am Mittwoch, den 12. Februar, 2003 - 14:36:   Beitrag drucken

Also, dann auf zu den Dreifachintegralen. Wird schon klappen.

mfg
Seitenanfangvoriger Beitragnächster BeitragSeitenende Link zu diesem Beitrag

Niels (niels2)
Suche alle Beiträge dieser Person in dieser Hauptrubrik
Erfahrenes Mitglied
Benutzername: niels2

Nummer des Beitrags: 333
Registriert: 06-2001
Veröffentlicht am Freitag, den 14. Februar, 2003 - 11:21:   Beitrag drucken

Test,

anscheinend funktioniert das Board wieder:-)

Gruß N.
Seitenanfangvoriger Beitragnächster BeitragSeitenende Link zu diesem Beitrag

Niels (niels2)
Suche alle Beiträge dieser Person in dieser Hauptrubrik
Erfahrenes Mitglied
Benutzername: niels2

Nummer des Beitrags: 334
Registriert: 06-2001
Veröffentlicht am Freitag, den 14. Februar, 2003 - 13:21:   Beitrag drucken

Hi Ferdi,

gut, wir gehen nun in den "Raum". D.h wir haben eine Funktion u=f(x;y;z) die einem Punkt in R³ einen Funktionswert zuordnet.Dabei ist die Funktion in unserem räumlichen Bereich stetig. Den Bereich, auch "Körper" genannt, teilen wir in n Teilbereiche. Wir wollen uns mit dem k-ten Teilbereich vom Volumen deltaVk nun näher befassen.
In diesem Teilbereich wählen wir einen Beliebigen Punkt Pk (xk|yk|zk) aus und berechnen an derren Funktionswert uk0f(xk;yk;zk) und bilden schließlich Das Produkt aus Funktionswert und Volumen deltaVk. Ebenso wird in anderen Teilbereichen Verfahren. Die Summe dieser Produkte, auch "zwischensumme" Zn genannt, hat keinerlei geometrische Bedeutung mehr.Sie lautet.

Zn=Sn k=1f(xk;yk;zk)*deltaVk

Wenn wir nun die Anzahl der n Teilbereiche gegen unendlich streben lassen, dann streben gleichzeitig die Volumina der Teilbereiche gegen Null. Falls dieser Grenzwert existiert wird er als 3-dimensionales Bereichsintegral, spriech als Dreifachintegral bezeichnet.

S¥ k=1f(xk;yk;zk)*deltaVk (deltaVk->0)

=
ò ò ò f(x;y;z)*dV
(V)

ò ò ò f(x;y;z)*dz*dy*dx
(V)
============================================

Die Berechnung solcher Integrale ist im Grunde genauso einfach wie bei Doppelintegralen. Man integriert hier auch von innen nach außen. Nur das man hier halt 2 innerer Funktionen hat.

soweit erstmal.

gruß N.




Seitenanfangvoriger Beitragnächster BeitragSeitenende Link zu diesem Beitrag

Ferdi Hoppen (tl198)
Suche alle Beiträge dieser Person in dieser Hauptrubrik
Erfahrenes Mitglied
Benutzername: tl198

Nummer des Beitrags: 361
Registriert: 10-2002
Veröffentlicht am Freitag, den 14. Februar, 2003 - 14:32:   Beitrag drucken

Aha alles klar. Wie sieht es hier mit der Vertauschbarkeit aus? Kann ich hier auch nur die Integration bei konstanten Grenzen vertauschen?

mfg
Seitenanfangvoriger Beitragnächster BeitragSeitenende Link zu diesem Beitrag

Niels (niels2)
Suche alle Beiträge dieser Person in dieser Hauptrubrik
Erfahrenes Mitglied
Benutzername: niels2

Nummer des Beitrags: 335
Registriert: 06-2001
Veröffentlicht am Freitag, den 14. Februar, 2003 - 16:50:   Beitrag drucken

Hi Ferdi,

ja du hast recht. Auch hier gilt, das die Integrationskonstanten nur vertauschbar sind, wenn sie konstant sind.

Gruß N.
Seitenanfangvoriger Beitragnächster BeitragSeitenende Link zu diesem Beitrag

Niels (niels2)
Suche alle Beiträge dieser Person in dieser Hauptrubrik
Erfahrenes Mitglied
Benutzername: niels2

Nummer des Beitrags: 336
Registriert: 06-2001
Veröffentlicht am Sonntag, den 16. Februar, 2003 - 10:49:   Beitrag drucken

Hi Ferdi,

Dreifachintegrale haben nur einen geometrische Bedeutung, wenn gilt : f(x;y;z)=1 .
Dann beschreibt das Dreifachintegral

ò ò ò dV
(v)

bzw.

ò ò ò dzdydx
(v)

Das Volumen des Teilbereichs V.

Man kann sich das wieder mit dem "Baukastenprinzip" vorstellen. Diesmal sind es nicht Flächenstücke sondern Quarder mit den Kantenlängen dx ,dy und dz, die in allen Raumrichtungen hintereinander aufsummiert wwerden, sprich integriert werden, um dann´das Volumen des Körpers auszufüllen.

Wir wollen zum Abschluß nochmal auf diese Weise das Kugelvolumen, das ursprünglich mal den Anlaß zu diesem "Exkurs" gegeben hat, berechnen und damit den Exkurs beenden. Der Ansatz ist wieder vollgender:

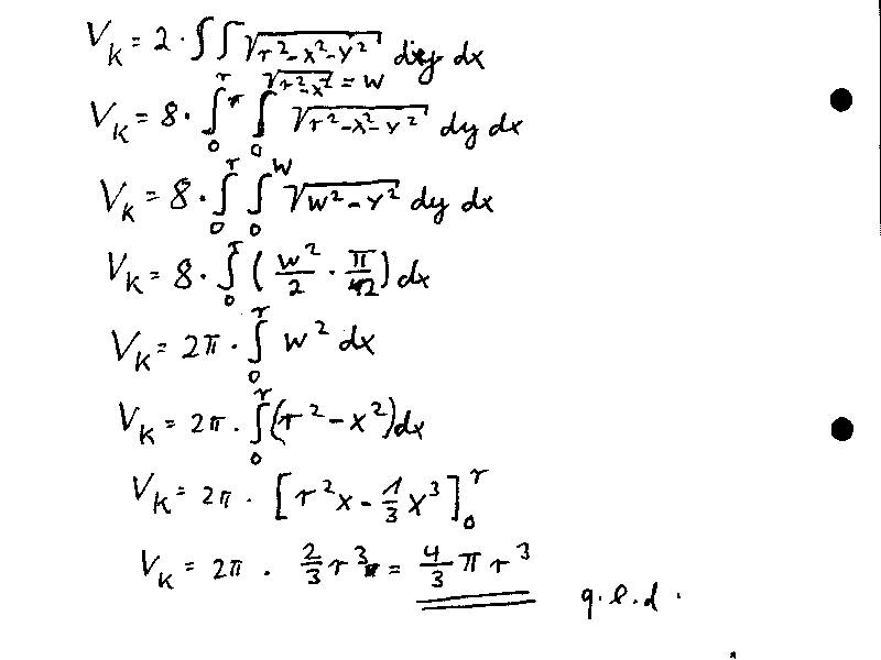
Vk=8*ò0 r ò0 y=Ö(r²-x²)=w ò0 z=Ö(r²-x²-y²)dzdydx

Vk=8*ò0 r ò0 y=Ö(r²-x²)=wÖ(r²-x²-y²)dydx

Vk=8*ò0 r ò0 wÖ(w²-y²)dydx

kugel01

für 0 eingesetzt wird die Stammfunktion Null.
Der Faktor wird vor das Integral gezogen:

Vk=2*p*ò0 rw²dx
Vk=2*p*ò0 r(r²-x²)dx
Vk=(4/3)*p*r³
=================================================

Ich finde das einen tollen Abschluß. Wenn noch fragen sind, dann sollen sie an dieser Stelle gestellt werden. Ansonsten möchte ich mich bei Ferdi für seine treue Zuhörerschaft bedanken.

@Ferdei:

Wenn du lust hast entwickel ich ein Kurs worin es um gewöhnliche Differentialgleichungen geht. Wenn du daran interesse hast, werde ich ihn vorbereiten und dich dann per Mail gegebenenfalls informieren, wenn es los geht.

viele Grüße

Niels
Seitenanfangvoriger Beitragnächster BeitragSeitenende Link zu diesem Beitrag

Ferdi Hoppen (tl198)
Suche alle Beiträge dieser Person in dieser Hauptrubrik
Erfahrenes Mitglied
Benutzername: tl198

Nummer des Beitrags: 369
Registriert: 10-2002
Veröffentlicht am Sonntag, den 16. Februar, 2003 - 11:50:   Beitrag drucken

Hi Niels,

a) Ich habe DIR zu danken, für deine aüsführlichen Erklärungen! Ich hätte nicht gedacht, dass meine Ausgangsfrage so Umfangreich bearbeitet wird!

b) Ich habe mich bis jetzt noch nicht so richtig mit Differentialgleichungen beschäftigt, würde mich aber über einen witeren Exkurs freuen!

mfg
Seitenanfangvoriger Beitragnächster BeitragSeitenende Link zu diesem Beitrag

Klaus (kläusle)
Suche alle Beiträge dieser Person in dieser Hauptrubrik
Erfahrenes Mitglied
Benutzername: kläusle

Nummer des Beitrags: 240
Registriert: 08-2002
Veröffentlicht am Sonntag, den 16. Februar, 2003 - 12:10:   Beitrag drucken

Hallo Niels, Ferdi!

Ich hätte auch Interesse an Differentialgleichungen!

MfG Klaus
Seitenanfangvoriger Beitragnächster BeitragSeitenende Link zu diesem Beitrag

Niels (niels2)
Suche alle Beiträge dieser Person in dieser Hauptrubrik
Erfahrenes Mitglied
Benutzername: niels2

Nummer des Beitrags: 337
Registriert: 06-2001
Veröffentlicht am Sonntag, den 16. Februar, 2003 - 12:12:   Beitrag drucken

Hi Ferdi,

gut, dann werde ich den Exkurs ausarbeiten.

Ich habe noch eine Abschlußfrage an dich:

Was hat den bei dir der parallel Mathe LK noch mit Mehrfachintegralen gemacht? oder war des dann kein Thema mehr bei den?

Gruß N.
Seitenanfangvoriger Beitragnächster BeitragSeitenende Link zu diesem Beitrag

Ferdi Hoppen (tl198)
Suche alle Beiträge dieser Person in dieser Hauptrubrik
Erfahrenes Mitglied
Benutzername: tl198

Nummer des Beitrags: 371
Registriert: 10-2002
Veröffentlicht am Sonntag, den 16. Februar, 2003 - 12:24:   Beitrag drucken

Also,

die haben einen Lehrer der hat denen das nur so gezeigt und dazu gesagt:
Ihr sollt das nur mal sehen, im Abi braucht ihrs eh nicht. Dann haben die kurz das Volumen berechnet und fertig!

Naja, wer versteht schon die Lehrer ;-)

mfg

Beitrag verfassen
Das Senden ist in diesem Themengebiet nicht unterstützt. Kontaktieren Sie den Diskussions-Moderator für weitere Informationen.


Und wie gehts weiter? Klick hier!
Learn-in! Mathematik Soforthilfe. Klick jetzt! Hier könnte Ihre Werbung erscheinen. Kontakt: werbung@zahlreich.de Sprachreisen. Hier kostenlosen Katalog bestellen!

ad
>>> Willst du die besten Proben und Gutscheine? - Dann klick hier! <<<

Informationen: Volumen per Mehrfachintegral? |  Soforthilfe Mathematik |  Online Mathebuch |  Bronstein

Administration Administration Abmelden Abmelden   Previous Page Previous Page Next Page Next Page