| Autor |
Beitrag |
   
Tobias Schlottbohm (schlati)

Neues Mitglied Benutzername: schlati
Nummer des Beitrags: 3 Registriert: 08-2000
| | Veröffentlicht am Donnerstag, den 16. Januar, 2003 - 09:09: |
|
Gegeben sind die Kugeln K1: [x-(5|-1|5)]²=225 K2: [x-(2|3|-7)]²=100 Wie lautet die Gleichung des Schnittkreises? Ich stelle die Frage, weil wir im Unterricht zwei verschiedene Ergebnisse - genauer gesagt, 2 verschiedene Schnittkreis-Mittelpunkte - erhalten haben. Unser verwirrter Lehrer wusste das auch nicht, zu erklären...jemand ne Ahnung? Danke schonmal im Vorraus... |
   
Walter H. (mainziman)

Erfahrenes Mitglied Benutzername: mainziman
Nummer des Beitrags: 355 Registriert: 05-2002
| | Veröffentlicht am Donnerstag, den 16. Januar, 2003 - 09:32: |
|
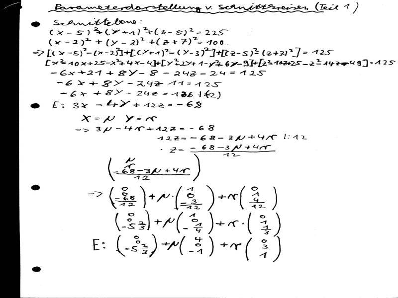
(x-5)^2 + (y+1)^2 + (z-5)^2 = 225 (x-2)^2 + (y-3)^2 + (z+7)^2 = 100 Durch Subtraktion beider Kugelgleichungen erhältst Du die Gleichung der Ebene, in der der Schnittkreis liegt. -6x + 8y -24z = 112-3x + 4y -12z = 56 <-- Ebene des Schnittkreises Gerade durch beide Kugelmittelpunkte:m: vect(x) = (5; -1; 5) + l * (-3; 4; -12) -3(5-3l) + 4(-1+4l) -12(5-12l) = 56 -15 + 9l -4 + 16l -60 + 144l = 56 169l = 135 l in Geradengleichung einsetzen => Mittelpunkt des Schnittkreises; Info: Verfalle nicht eine Kugel mit der Ebene zu schneiden und das als Schnittkreisgleichung aufzufassen => ist wieder eine Kugelgleichung! Mainzi Man, ein Mainzelmännchen, das gerne weiterhilft oder auch verwirren kann *ggg*
|
   
mythos2002 (mythos2002)

Erfahrenes Mitglied Benutzername: mythos2002
Nummer des Beitrags: 333 Registriert: 03-2002
| | Veröffentlicht am Freitag, den 17. Januar, 2003 - 00:48: |
|
@Walter, da bin ich nicht deiner Meinung! Selbstverständlich ist der Schnitt einer Kugel mit einer Ebene (das System deren beiden Gleichungen) der Schnittkreis! Man kann ihn nur nicht explizit als Kreisgleichung wie gewohnt ausrechnen! Gr mYthos
|
   
Ferdi Hoppen (tl198)

Erfahrenes Mitglied Benutzername: tl198
Nummer des Beitrags: 248 Registriert: 10-2002
| | Veröffentlicht am Freitag, den 17. Januar, 2003 - 12:21: |
|
Das stimmt allerdings was mythos sagt! Ich kann das mal kurz zeigen: Wenn man jetzt nämlich die Ebene hat, kann man ganz einfach die Ebene mit einer der Kugeln Schneiden! die ebene lautet ausgerechnet: E : 3 * x1 - 4 * x2 + 12 * x3 = -68 Nun gehts ratz fatz: Lotfußpunkt von M1 auf E, z.B. durch Scnitt von der Geraden vect[x]=M1+t*(N) wobei n hier der normalenvektor der Ebene ist! Ergebnis: Schnittkreis Mittelpunkt: M' ( (404/169)|(419/169)|-(919/169)) Nun fehlt uns noch der Radius r': dieser Ergibt sich aus Phytaghoras: r'=sqrt(r^2-e^2) Wobei r Radius der Kugel und e der Abstand von M1 zur Ebene E (mit Hilfe der HNF zu berechnen) ist! Man macht sich am besten ne skizze!! Um dies zu verifizieren kann man auch die zweite Kugel mit der Ebene schneiden, man wird die selben ergbenisse erhalten! Ergebniss: Die Kugeln: K1: [x-(5|-1|5)]²=225 K2: [x-(2|3|-7)]²=100 haben einen Schnittkris mit dem Mittelpunkt M' ( (404/169)|(419/169)|-(919/169)) und dem Radius r'~9,856! mfg |
   
Niels (niels2)

Erfahrenes Mitglied Benutzername: niels2
Nummer des Beitrags: 276 Registriert: 06-2001
| | Veröffentlicht am Freitag, den 17. Januar, 2003 - 13:13: |
|
Und? Man kann den Schnittkris doch explizit darstellen, nämlich in Parameterform. Generrell sind Kreise in R³ nur in Parameterform darstellbar. N.
|
   
Ferdi Hoppen (tl198)

Erfahrenes Mitglied Benutzername: tl198
Nummer des Beitrags: 250 Registriert: 10-2002
| | Veröffentlicht am Freitag, den 17. Januar, 2003 - 15:11: |
|
Hi Niels, könntest du mir das näher erläutern? Ich habe noch nie etwas von einer Parametrform eines Kreise im R³ gehört! Ich dachte man könne nur Mittelpunkt und Radius eines Kreises im R³ angeben, da alles andere die gleichung einer Kugel wäre! Vielen Dank im Vorraus mfg |
   
Niels (niels2)

Erfahrenes Mitglied Benutzername: niels2
Nummer des Beitrags: 277 Registriert: 06-2001
| | Veröffentlicht am Freitag, den 17. Januar, 2003 - 18:54: |
|
Hi Ferdi, die Erklärung ist relativ Einfach: Wenn Bei den Schnitt einer Kugel mit einer Ebenen ein Schnittkreis entsteht, so liegt der Schnittkreis in der Ebenen, die mit der Kugel zum Schnitt gebracht worden ist-Er liegt also in der Schnittebenen. Wir müssen nun also schauen, welche Gleichungsmöglichkeiten eines Kreises in einer Ebenen gibt. Da hier die Koordinatenform und Vektorform eines Kreises in der Ebennen im Raum einer Kugel entspricht bleibt also nur die Parameterform für einen Kreis in R³ übrig. Was brauchen wir für die Parameterform? Nun, grundsätzlich erstmal einen Mittelpunkt und ein Radius, die habt hier schon errechnet. Nun brauchen wir aber noch 2 rechtwinklige Einheitsvektoren, die in der Schnittebenen liegen, und sozusagen der x und y Achse in R² entsprechen. D. h. nach der Berechnung des Radius und Mittelpunktes des Schnittkreises, müssen wir die Normalenform der Ebenengleichung in eine Parameterform verwandeln. Danach suchen wir uns ein der Beiden richtungsvektoren aus und ermitteln dazu ein senkrechten Vektor. Beide Vektoren sind zu Normieren. Tja, und dann haben wir schon fasst die Kreisgleichung! Am besten rechnen wir das an unseren Beispiel in dieser Aufgabe nach. Erstmal also muss jemand die Parametergleichung der Schnittebenen erstellen... Gruß N. |
   
Walter H. (mainziman)

Erfahrenes Mitglied Benutzername: mainziman
Nummer des Beitrags: 356 Registriert: 05-2002
| | Veröffentlicht am Freitag, den 17. Januar, 2003 - 19:17: |
|
@mythos: @Ferdi Hoppen: Als Kreis im R3 müsstest dann sowas angeben I: (x-xm)^2 + (y-ym)^2 + (z-zm)^2 = r^2 II: ax + by + cz = d nur daraus lest nixe, und meine Rechnung ist ja nicht fertiggerechnet => bekäme ja des gleiche 'raus Gleichung I alleine ist und bleibt eine Kugelgleichung => schneint ihr beide mich falsch verstanden haben.
Mainzi Man, ein Mainzelmännchen, das gerne weiterhilft oder auch verwirren kann *ggg*
|
   
Walter H. (mainziman)

Erfahrenes Mitglied Benutzername: mainziman
Nummer des Beitrags: 357 Registriert: 05-2002
| | Veröffentlicht am Freitag, den 17. Januar, 2003 - 19:21: |
|
Hi Niels, -3x + 4y -12z = 56 <-- das ist bereits die Ebenengleichung (-3; 4; -12) <-- normalvektor (-3/13; 4/13; -12/13) <-- normalvektor mit länge 1 Gruß, Walter Mainzi Man, ein Mainzelmännchen, das gerne weiterhilft oder auch verwirren kann *ggg*
|
   
Niels (niels2)

Erfahrenes Mitglied Benutzername: niels2
Nummer des Beitrags: 278 Registriert: 06-2001
| | Veröffentlicht am Freitag, den 17. Januar, 2003 - 20:23: |
|
Hi Walter, Es gibt eine "Parameterform des Kreises" in R³. D.h eine Form mit Sinus und Cosinus.... Du musst die Normalenform der Ebenengleichung in eine Parameterform umwandeln. Schau dir meine Rechnung an. ich hoffe sie ist so korrekt.
Gruß N. |
   
Niels (niels2)

Erfahrenes Mitglied Benutzername: niels2
Nummer des Beitrags: 279 Registriert: 06-2001
| | Veröffentlicht am Freitag, den 17. Januar, 2003 - 20:28: |
|
Hi Walter, Es gibt eine "Parameterform des Kreises" in R³. D.h eine Form mit Sinus und Cosinus.... Du musst die Normalenform der Ebenengleichung in eine Parameterform umwandeln. Schau dir meine Rechnung an. ich hoffe sie ist so korrekt.
Gruß N. |
   
Ferdi Hoppen (tl198)

Erfahrenes Mitglied Benutzername: tl198
Nummer des Beitrags: 251 Registriert: 10-2002
| | Veröffentlicht am Freitag, den 17. Januar, 2003 - 22:51: |
|
hi niels, also wenn ich deiner anleitung folge, dann nehme ich jetzt z.b. den vektor r*(4,0,-1) suche mir dazu einen senkrechten, z.b. s*(0,1,0). So das schon normiert ist tun wir dies nun mit r! |r|=sqrt(17)=> r*((4/sqrt(17)),0,(1/sqrt(17))). So nun denke ich mir für die Parameterform geht man vom Mittelpunkt aus, und daran hängt man dann die Richtungsvektoren. Nur das diesmal r und s sofort eindeutig bestimmt sind, denn man darf ja höchtens die Länge des Radius weit weg vom Mittelpunkt? Nur wie erreicht man so alle Punkt des Kreises? K: ((404/169)|(419/169)|-(919/169))+s*(0,1,0)+r*((4/s qrt(17)),0,(1/sqrt(17))) für s und r=9,856 aber irgendwie gefällt mir das nicht, wo ist mein Fehler? Was meinst du mit Sinus und Cosinus? Muss man dies mit in die Form reinbringen? Also wenn ich das sehe. In der Schule wurde das Thema Kreise im R³ einfach ignoriert! Wie vieles andere auch... mfg
|
   
Niels (niels2)

Erfahrenes Mitglied Benutzername: niels2
Nummer des Beitrags: 280 Registriert: 06-2001
| | Veröffentlicht am Samstag, den 18. Januar, 2003 - 09:35: |
|
Hi Ferdi, es fehlt ja auch noch was, a) musst du noch die normierten Richtungsvektoren mit dem Radius des Kreises multipizieren, b) einen Richtungsvektor mit cos(t) und den anderen mit sin(t) multiplizieren. Dennn in R² also in einer Ebenen gilt für die Parameterdarstelleung: x=m1+r*cos(t) y=m2+r*sin(t) mi 0<t<2*pi Deswegen heißt die Form ja auch Parameterform! Wenn vect(u0) und vect(v0) 2 orthogonale normierte Richtungsvektoren der Schnittebenen E sind, so gilt für die Gleichung eines Schnittkreises in Parameterform mit Mittelpunkt m und Radíus r: k:vect(m)+r*vect(u0)*cos(t)+r*vect(v0)*sin(t) mit 0<t<2*pi Das ist die Grundform einer Parametergleichung des Kreises in R³. Natürlich gibt es viele verschieden Parameterformen zu den gleichen Schnittkreis. Es kommmt Beispielsweise darauf an, ob man zu vect(u) ein senkrechten vect(v) ermittelt oder umgekehrt etc. D.h. Das einzige, was alle Schnittkreisgleichungen des gleichen Kreises gemeinsam haben ist der Ortsvektor m des Mittelpunktes und der Radiu des Kreises r als Vorfaktor bei den Richtungsvektoren. Man beachte auch, das Obwohl die Gleichungen den gleichen Kreis beschreiben können, bei der Punktprobe es durchchaus verschieen Werte für den Parameter notwendig sind. Ich hoffe du verstehst das! Gruß N |
   
Ferdi Hoppen (tl198)

Erfahrenes Mitglied Benutzername: tl198
Nummer des Beitrags: 253 Registriert: 10-2002
| | Veröffentlicht am Samstag, den 18. Januar, 2003 - 10:07: |
|
Danke Niels langsam dämmerts. Von so etwas hab ich vorher nie gehört! Naja, jetzt erscheint mir das auhc logisch, den meine Version sah doch arg fragwürdig aus! Naja, man lernt nie aus, vorallem als Schüler ;-) mfg |
   
Niels (niels2)

Erfahrenes Mitglied Benutzername: niels2
Nummer des Beitrags: 281 Registriert: 06-2001
| | Veröffentlicht am Samstag, den 18. Januar, 2003 - 11:48: |
|
He Ferdi, Wenn du es anschaulich haben möchtetst geht das auch: Man nimmt eine große Styropor Kugel, wie es sie in Bastelgeschäften etc gibt, und tut so, als ob man sie mit einer Anderen Kugel zum Schnitt bringt, indem man ein Teil der Kugel einfach mit dem Messer Asusscneidet. Die Kugelkappe fällt weg und auf der Kugeloberfläche bleibt ein Kreis zurück. Zeichnet man sich auf diesen Kries ein Rechtwinckliges Koordinatensystem auf, deren Ursprung der Schnittkreismittelpunkt ist, so kann man wie gewohnt ein Kreis mit hilfe der parameterdarstellung die wir aus R² kennen ohne größere Schwirigkeiten beschreiben. Dabei nehmen die senkrechten normirten Richtungsvektoren der Ebenen die Funktion der x,y- Achsen in R² war. entweder dir reicht die Erklärung, oder du bastelst es nach, oder ich bastle es und stelle hier ein kleines Photo rein. Rein zufälligerweise habe ich gerade die erforderlichn Materialiern dar. Ich bin ein Freund anschaulicher Mathematik, die Anschauungen verhelfen oft einen schirigen Sachverhalt, wie der der kreisgleichung in R³ einfach zu verstehen und zu erklären. Leider fehlt dies im üblichen Mathematikuntericht! Gruß N.
|
   
Ferdi Hoppen (tl198)

Erfahrenes Mitglied Benutzername: tl198
Nummer des Beitrags: 255 Registriert: 10-2002
| | Veröffentlicht am Samstag, den 18. Januar, 2003 - 12:09: |
|
Rein zufällig..... :-) Das kann ich mir gut vorstellen(räumliches denken war immer meine stärke), ich werd das meinem Mathelehre mal erzählen. Danke. Aber wenn du gerne bastelst, ich werde dich nicht hindern... ;-) mfg |
   
H.R.Moser,megamath (megamath)

Senior Mitglied Benutzername: megamath
Nummer des Beitrags: 1939 Registriert: 07-2002
| | Veröffentlicht am Samstag, den 18. Januar, 2003 - 12:11: |
|
Hi allerseits, Mit meinem Beitrag zum Thema der Parameterdarstellung eines Kreises in allgemeiner Lage im R3 möchte ich eine Methode vorführen, mit welcher diese Aufgabe auch numerisch elegant gelöst werden kann. Grundidee Der Kreis ist gegeben durch den Ortsvektor m des Mittelpunktes M, den Radius r und die Kreisebene E. Die Stellung dieser Ebene ist durch die zu ihr parallelen Vektoren u und v gegeben, welche folgende Eigenschaften haben: Beide Vektoren haben denselben Betrag r und stehen aufeinander senkrecht, also u ^ 2 = v ^ 2 = r^2 , Skalarprodukt u . v = 0 (die Vektorpfeile sind weggelassen). Der Ortsvektor p eines laufenden Punktes P des Kreises kann dann mit Hilfe eines Parameters t mit 0 < = t < = 2 Pi so geschrieben werden: p = m + u * cos t + v sin t ********************* Ausführung an einem Beispiel Gegeben sei die Kreisebene E durch die Gleichung 2 x – 2 y + z = 6. Der Punkt M (1/-1/ 2), der auf E liegt, sei der Mittelpunkt des Kreises und r = 3 der Radius. Gesucht wird nach dem obigen rezenten Rezept eine Parameterdarstellung dieses Kreises. Lösung Wir gehen aus vom Vektor w = {2 ; -2 ; 1}, der einen Normalenvektor der Ebene E darstellt In der Ebene E wählen wir einen beliebigen Punkt, z.B A(3/0/0) und bestimmen damit den Vektor a = MA = {2;1;-2} ; wir bilden das Vektorprodukt p der Vektoren w und a und erhalten nach einer kleinen Rechnung p ={3;6;6} =3* {1;2;2} Aus den Vektoren a und p stellen wir mit Leichtigkeit die im Theorieteil auftretenden Vektoren u und v her: Da diese Vektoren je senkrecht zu w stehen, sind sie je zu E parallel; ausserdem stehen sie nach Bauplan aufeinander senkrecht. Sie brauchen nur noch auf die Länge 3 = r gebracht werden. Beim Vektor ist schon alles in bester Ordnung, sodass u = a gesetzt werden kann, den Vektor p stauchen wir mit dem Faktor 1/3; es kommt v = {1;2;2}. Somit lautet die Gleichung des Kreises in skalarer Form: mit t als Parameter (drei simultan zu verwendende Gleichungen): x = 1 + 2 cos t + sin t y = -1 + cos t + 2 sin t z = 2 - 2 cos t + 2 sin t Anmerkung Eliminiert man den Parameter t, so erhält man die Gleichung der Kugel mit M als Mittelpunkt und r = 3 als Radius; diese Gleichung lautet (x - 1) ^ 2 + (y + 1) ^ 2 + (z – 2) ^ 2 = 9 . Zusammen mit der Ebene E haben wir den Kreis als Schnittelement zweier Flächen, wie es dem Lauf der Geometrie entspricht. Mit freundlichen Grüßen H.R.Moser,megamath
|
   
H.R.Moser,megamath (megamath)

Senior Mitglied Benutzername: megamath
Nummer des Beitrags: 1940 Registriert: 07-2002
| | Veröffentlicht am Samstag, den 18. Januar, 2003 - 15:13: |
|
Hi allerseits, es folgt noch eine kleine Ergänzung mit der Frage: wie kann eine im R3 eingebettete Ellipse parametrisiert werden M sei der Mittelpunkt und m der Ortsvektor von M. Die beiden linear unabhängigen Vektoren u und v, in M angreifend, spannen die Ebene E der Ellipse auf. Dann lautet eine Parameterdarstellung der Ellipse in Analogie zur Kreisdarstellung in meinem vorhergehenden Beitrag: p = m + u * cos t + v sin t ********************* Man kann zeigen, dass die Vektoren u und v ein konjugiertes Radienpaar der Ellipse darstellen. Mit freundlichen Grüßen H.R.Moser,megamath
|
   
Ferdi Hoppen (tl198)

Erfahrenes Mitglied Benutzername: tl198
Nummer des Beitrags: 257 Registriert: 10-2002
| | Veröffentlicht am Samstag, den 18. Januar, 2003 - 15:37: |
|
Wow, ich glaube jetzt ist alles geklärt! Vielen Dank H.R.Moser. Gleich noch das Schmankerl der Parameterform einer Ellipse im R³. Ich frage mich warum diese Themen in der Schule immer ausgespart werden! So schwer sind sie doch gar nicht! Naja, schönes Wochenende noch! mfg tl198 |
   
Niels (niels2)

Erfahrenes Mitglied Benutzername: niels2
Nummer des Beitrags: 283 Registriert: 06-2001
| | Veröffentlicht am Samstag, den 18. Januar, 2003 - 18:23: |
|
Hallo alle zusammen, @Megamath: Ja, ein Kreis ist ja im Prinzip nur ein Spezialfall der ellipse, allso eine Ellipse mit 2 gleichen Halbachesenlängen a=b=r Gruß N. |
   
H.R.Moser,megamath (megamath)

Senior Mitglied Benutzername: megamath
Nummer des Beitrags: 1941 Registriert: 07-2002
| | Veröffentlicht am Samstag, den 18. Januar, 2003 - 19:22: |
|
Hi allerseits, Eine marginale Frage: Wie kann man beweisen, dass die in meinem letzten Beitrag erwähnten Vektoren u und v für die Ellipse p = m + u * cos t + v * sin t ein konjugiertes Halbmesserpaar der Ellipse darstellen ? MfG H.R.Moser
|
   
Niels (niels2)

Erfahrenes Mitglied Benutzername: niels2
Nummer des Beitrags: 285 Registriert: 06-2001
| | Veröffentlicht am Samstag, den 18. Januar, 2003 - 19:27: |
|
Hi Megamath, was bedeutet den in diesen Zusammenhang das Wort "konjugiert"? Gruß N. |
   
H.R.Moser,megamath (megamath)

Senior Mitglied Benutzername: megamath
Nummer des Beitrags: 1942 Registriert: 07-2002
| | Veröffentlicht am Samstag, den 18. Januar, 2003 - 20:13: |
|
Hi Niels, ich habe gerade Zirkel und Lineal zur Seite gelegt und Feierabend gemacht. Dir zu Liebe mache ich ein paar Ueberminuten. Wenn wir die Ellipse als affines Bild des Kreises auffassen, so geht bei dieser Abbildung ex definitione ein Paar senkrechter Kreisdurchmesser in ein Paar konjugierter Ellipsendurchmesser über. Da die Parallelität bei einer affinen Abbildung erhalten bleibt, im Gegensatz zur Orthogonalität zweier Geraden, die i.a. nicht erhalten bleibt, sind die Tangenten in den Endpunkten eines Ellipsendurchmessers d parallel zum konjugierten Durchmesser von d. Die zu d parallelen Sehnen der Ellipse werde vom konjugierten Durchmesser halbiert. Es gibt ein Verfahren, aus einem Paar konjugierter Durchmesser die Achsen der Ellipse zu konstruieren (Rytzsche Achsenkonstruktion), und viele andere schönen Dinge in diesem Zusammenhang. Mit freundlichen Grüssen H.R.Moser,megamath.
|