| Autor |
Beitrag |
   
mel (nullplan)

Neues Mitglied Benutzername: nullplan
Nummer des Beitrags: 2 Registriert: 01-2003
| | Veröffentlicht am Donnerstag, den 09. Januar, 2003 - 23:00: |
|
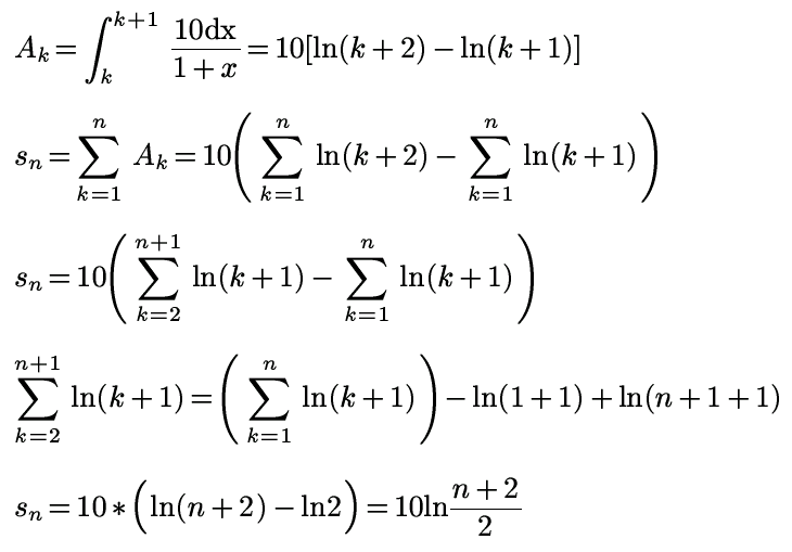
bitttteeeeeee aufgabe: weisen sie nach, dass für das n-te glied s(n tiefgestellt)) der partialsummenfolge gilt: Sn= 10 mal ln n+2 bruchstrich 2 die aufgabe kann man auch unter http://abitur.hechtnetz.de/ abi 83/84 aufgabe 6d nachlesen. ich würde euch sehr danken |
   
Friedrich Laher (friedrichlaher)

Senior Mitglied Benutzername: friedrichlaher
Nummer des Beitrags: 825 Registriert: 02-2002
| | Veröffentlicht am Freitag, den 10. Januar, 2003 - 11:31: |
|
hoffe
das ist verständlich und wenn's - ad nauseam - vollständige Induktion sein muß berechne sn - s-{n-1}, da muß An herauskommen ( dieses Verfaren entsprich bei Summen der vollständigen Induktion; Nachzuweisen, daß es für n=1 stimmt ist ja keine Kunst ) (Beitrag nachträglich am 10., Januar. 2003 von friedrichlaher editiert) Wenn das Erlernen der Mathematik einigermaßen ihre Erfindung wiederspiegeln soll, so muß es einen Platz für Erraten, für plausibles Schließen haben. [Aus dem Vorwort zu "Mathematik und plausibles Schliessen, Bd. 1 Induktion und Analogie in der Mathematik" von Georg Pólya]
|
   
Friedrich Laher (friedrichlaher)

Senior Mitglied Benutzername: friedrichlaher
Nummer des Beitrags: 830 Registriert: 02-2002
| | Veröffentlicht am Freitag, den 10. Januar, 2003 - 16:29: |
|
allerdings könnte man sich die ganze Summiererei sparen, denn die Ak sind unmittelbar einander folgende Flächenstücke unter der Kurve 10/(1+x), die Summe also 10*Integral(dx/(1+x),x=1 bis n+1)
Wenn das Erlernen der Mathematik einigermaßen ihre Erfindung wiederspiegeln soll, so muß es einen Platz für Erraten, für plausibles Schließen haben. [Aus dem Vorwort zu "Mathematik und plausibles Schliessen, Bd. 1 Induktion und Analogie in der Mathematik" von Georg Pólya]
|
|