>>> Hast du diesen Monat weniger als 16 Bücher gelesen? - Dann klick hier! <<<


Themenbereiche Themenbereiche Profile Hilfe/Anleitungen Help    
Recent Posts Last 1|3|7 Days Suche Suche Tree Tree View  

Richtig gelöst?

ZahlReich - Mathematik Hausaufgabenhilfe » ---- Archiv: Klassen 12/13 » Differentialrechnung » Extremwertaufgaben » Archiviert bis 16. Januar 2003 Archiviert bis Seite 26 » Richtig gelöst? « Zurück Vor »

Autor Beitrag
Seitenanfangvoriger Beitragnächster BeitragSeitenende Link zu diesem Beitrag

Jezz (jezz)
Suche alle Beiträge dieser Person in dieser Hauptrubrik
Mitglied
Benutzername: jezz

Nummer des Beitrags: 11
Registriert: 11-2002
Veröffentlicht am Donnerstag, den 09. Januar, 2003 - 16:18:   Beitrag drucken

Durch den Punkt P(2/4) werden Geraden gelegt, die die positive x.Achse im Punkt a und die positive y-Achse im Punkt B schneiden. Das Dreieck ABO rotiert um die x-Achse. Für welche Gerade wird das Volumen des Rotationskörper minimal?
Ich habe hier y=-2x+8 heraus. Ist das richtig?
Seitenanfangvoriger Beitragnächster BeitragSeitenende Link zu diesem Beitrag

Friedrich Laher (friedrichlaher)
Suche alle Beiträge dieser Person in dieser Hauptrubrik
Senior Mitglied
Benutzername: friedrichlaher

Nummer des Beitrags: 820
Registriert: 02-2002
Veröffentlicht am Donnerstag, den 09. Januar, 2003 - 17:19:   Beitrag drucken

nein

y = 4 - (x-2)k

PunktA: y = 0 = 4-(x-2)k; x = 2 + 4/k

PunktB: x = 0; y = 4 + 2k
Rotation
um x-Achse bedeutet:
Kegel, r = y = 4 + 2k, h = x = 2 + 4/k
das
Volumen ist V(k) = r²*pi*h/3,
zu
Minimieren ist r²h = (4 + 2k)²(2 + 4/k)

[ (4 + 2k)²(2 + 4/k) ]' = 0

2*(4 + 2k)*2*(2 + 4/k) + (4 + 2k)²(-4/k²) = 0
die
Lösung 4+2k = 0, k=-2 ist ausgeschlossen.
machst Du den Rest selbst?

Wenn das Erlernen der Mathematik einigermaßen ihre Erfindung wiederspiegeln soll, so muß es einen Platz für Erraten, für plausibles Schließen haben.
[Aus dem Vorwort zu "Mathematik und plausibles Schliessen, Bd. 1 Induktion und Analogie in der Mathematik" von Georg Pólya]
Seitenanfangvoriger Beitragnächster BeitragSeitenende Link zu diesem Beitrag

Jezz (jezz)
Suche alle Beiträge dieser Person in dieser Hauptrubrik
Mitglied
Benutzername: jezz

Nummer des Beitrags: 14
Registriert: 11-2002
Veröffentlicht am Freitag, den 10. Januar, 2003 - 13:06:   Beitrag drucken

Kann man das nicht auch irgendwie einfacher aufschreiben???
Seitenanfangvoriger Beitragnächster BeitragSeitenende Link zu diesem Beitrag

Friedrich Laher (friedrichlaher)
Suche alle Beiträge dieser Person in dieser Hauptrubrik
Senior Mitglied
Benutzername: friedrichlaher

Nummer des Beitrags: 829
Registriert: 02-2002
Veröffentlicht am Freitag, den 10. Januar, 2003 - 13:48:   Beitrag drucken

Was ist Dir zu kompliziert?
Die letzte Gleichung ist die Anwendung der Produktregel;
tut mir leid, Du mußt schon die quadratische Gl. in k
lösen,
die nach Multiplikation
mit
k^2/[4*(4+k2] überbleibt.

Wenn das Erlernen der Mathematik einigermaßen ihre Erfindung wiederspiegeln soll, so muß es einen Platz für Erraten, für plausibles Schließen haben.
[Aus dem Vorwort zu "Mathematik und plausibles Schliessen, Bd. 1 Induktion und Analogie in der Mathematik" von Georg Pólya]
Seitenanfangvoriger Beitragnächster BeitragSeitenende Link zu diesem Beitrag

Jezz (jezz)
Suche alle Beiträge dieser Person in dieser Hauptrubrik
Mitglied
Benutzername: jezz

Nummer des Beitrags: 18
Registriert: 11-2002
Veröffentlicht am Freitag, den 10. Januar, 2003 - 18:04:   Beitrag drucken

Ich verstehe allein diesen Ansatz nicht:
y = 4 - (x-2)k

Ich bin mit
4=2*m+b
b=4-2m angefangen
y=m*x+b
Dies muss nach der Formel für einen Rotationskörper quadriert werden:
m²x²+2mxb+b²
für b die obere Formel einsetzen
m²x²+2mx(4-2m)+(4-2m)²

Dies ausmultiplizieren.
Untere Grenze ist 0, obere Grenze Nullstelle der Gleichung.
mx+b= 0
x=-b/m
x=(-4+2m)/m

Gleichung aufleiten. Obere Grenze einsetzen. Mir muss irgendwo ein Fehler unterlaufen sein.. Kann das ganze vielleicht irgendwer mal so durchführen? Oder sind meine Überlegungen falsch??
Seitenanfangvoriger Beitragnächster BeitragSeitenende Link zu diesem Beitrag

Friedrich Laher (friedrichlaher)
Suche alle Beiträge dieser Person in dieser Hauptrubrik
Senior Mitglied
Benutzername: friedrichlaher

Nummer des Beitrags: 832
Registriert: 02-2002
Veröffentlicht am Freitag, den 10. Januar, 2003 - 19:27:   Beitrag drucken

wo berechnest Du das Volumen?
(
Der Ansatz ist die Punkt-Richungsform der Geraden;

für x=2 gibt y = 4 - (x-2)k den gewünschten Wert 4
damit
die Gerade im 1ten Qadranten ein 3eck "abschneidet"
muß die Steigung negativ sein.
k ist die negative Steigung
)
Wenn das Erlernen der Mathematik einigermaßen ihre Erfindung wiederspiegeln soll, so muß es einen Platz für Erraten, für plausibles Schließen haben.
[Aus dem Vorwort zu "Mathematik und plausibles Schliessen, Bd. 1 Induktion und Analogie in der Mathematik" von Georg Pólya]
Seitenanfangvoriger Beitragnächster BeitragSeitenende Link zu diesem Beitrag

Jezz (jezz)
Suche alle Beiträge dieser Person in dieser Hauptrubrik
Mitglied
Benutzername: jezz

Nummer des Beitrags: 24
Registriert: 11-2002
Veröffentlicht am Samstag, den 11. Januar, 2003 - 15:22:   Beitrag drucken

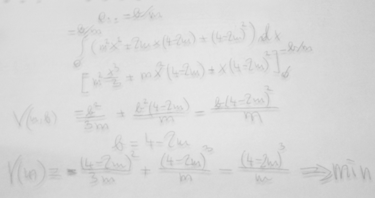
Das Volumen wird doch über das Integral mit den Grenzen x=0 / Nullstelle über die Quadrierung der Gleichung mx+b berechnet!!
Kann vielleicht einmal irgendwer meinen Lösungsansatz nachrechnen, falls dieser richtig ist? Ich bekomme andauernd verschiedene Ergebnisse.. letztes Mal war die Steigung -4,42.
Danke im voraus!
Seitenanfangvoriger Beitragnächster BeitragSeitenende Link zu diesem Beitrag

Friedrich Laher (friedrichlaher)
Suche alle Beiträge dieser Person in dieser Hauptrubrik
Senior Mitglied
Benutzername: friedrichlaher

Nummer des Beitrags: 836
Registriert: 02-2002
Veröffentlicht am Samstag, den 11. Januar, 2003 - 18:32:   Beitrag drucken

bitte, verzeiht das wüste Bild.
an dem hier weiterzurechnen
b
soll also einfacher sein als meine ursprüngliche
Lösung?


Wenn das Erlernen der Mathematik einigermaßen ihre Erfindung wiederspiegeln soll, so muß es einen Platz für Erraten, für plausibles Schließen haben.
[Aus dem Vorwort zu "Mathematik und plausibles Schliessen, Bd. 1 Induktion und Analogie in der Mathematik" von Georg Pólya]

Beitrag verfassen
Das Senden ist in diesem Themengebiet nicht unterstützt. Kontaktieren Sie den Diskussions-Moderator für weitere Informationen.


Und wie gehts weiter? Klick hier!
Learn-in! Mathematik Soforthilfe. Klick jetzt! Hier könnte Ihre Werbung erscheinen. Kontakt: werbung@zahlreich.de Sprachreisen. Hier kostenlosen Katalog bestellen!

ad
>>> Willst du die besten Proben und Gutscheine? - Dann klick hier! <<<

Informationen: Richtig gelöst? |  Soforthilfe Mathematik |  Online Mathebuch |  Bronstein

Administration Administration Abmelden Abmelden   Previous Page Previous Page Next Page Next Page