| Autor |
Beitrag |
   
Jan (stryper)

Neues Mitglied Benutzername: stryper
Nummer des Beitrags: 3 Registriert: 11-2002
| | Veröffentlicht am Mittwoch, den 18. Dezember, 2002 - 15:44: |
|
Ich soll zeigen für welche n (wobei n eine natürliche Zahl sein soll) folgender Ausdruck nicht gilt : (2ab+a+b)/(b²+b) = n (wobei a und b beliebige natürliche Zahlen sein können). Kann mir jemand erklären, wie ich das zeigen kann? Danke |
   
Friedrich Laher (friedrichlaher)

Senior Mitglied Benutzername: friedrichlaher
Nummer des Beitrags: 779 Registriert: 02-2002
| | Veröffentlicht am Mittwoch, den 18. Dezember, 2002 - 20:42: |
|
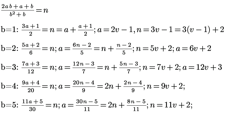
2ab+a+b = nb²+nb; nach b auflösen, die Diskriminante der Q.gl. muß > 0 und ein Quadrat sein, das hängt von n ab, und da gibt's bestimmt welche, für die das unmöglich ist b² + b[2a+1 - n]/n +a/n = 0 b = (2a+1-n ±sqrt( (2a+1-n)²-4an )/(2n) Diskriminante D = 4a²+n²+4a-2n = c² 4a²+4a > 2n-n² 4a(a+1) >= n(2-n) die natürlichen Zahlen sin 1,2,.. für a=b=1 ist n=2, und n > 2 der Diskriminante wegen unmöglich somit ist n=2 der einzige mögliche Wert. Wenn das Erlernen der Mathematik einigermaßen ihre Erfindung wiederspiegeln soll, so muß es einen Platz für Erraten, für plausibles Schließen haben. [Aus dem Vorwort zu "Mathematik und plausibles Schliessen, Bd. 1 Induktion und Analogie in der Mathematik" von Georg Pólya]
|
   
Jan (stryper)

Neues Mitglied Benutzername: stryper
Nummer des Beitrags: 4 Registriert: 11-2002
| | Veröffentlicht am Donnerstag, den 19. Dezember, 2002 - 14:03: |
|
Aber wie sieht das jetzt aus, wenn a und b > 1 sind, schließlich können diese Vaiablen den Wert jeder natürlichen Zahl annehmen. Dann würden sich doch auch die Möglichkeiten für n ändern, oder? n könnte doch dann auch größer als 2 sein und trotzdem die Ungleichung erfüllen. Jan |
   
heimdall (gjallar)

Mitglied Benutzername: gjallar
Nummer des Beitrags: 27 Registriert: 11-2002
| | Veröffentlicht am Donnerstag, den 19. Dezember, 2002 - 16:52: |
|
Hallo Jan, eine interessante Aufgabe. Die Werte, für die deine Gleichung nicht erfüllbar ist, sind n = 1,3,4,6,10,18,34,66,130,... Erkennst du das Bildungsgesetz dieser Folge (ohne den Spezialfall n=1) ?
Gruß, Gjallar
|
   
Friedrich Laher (friedrichlaher)

Senior Mitglied Benutzername: friedrichlaher
Nummer des Beitrags: 783 Registriert: 02-2002
| | Veröffentlicht am Donnerstag, den 19. Dezember, 2002 - 17:25: |
|
..... es scheint also sicher, daß n = (2b+1)*v+2 ist vielleicht hilft das bei Formulierung für die Werte, die n nicht annehmen kann.
Wenn das Erlernen der Mathematik einigermaßen ihre Erfindung wiederspiegeln soll, so muß es einen Platz für Erraten, für plausibles Schließen haben. [Aus dem Vorwort zu "Mathematik und plausibles Schliessen, Bd. 1 Induktion und Analogie in der Mathematik" von Georg Pólya]
|
   
Christian Schmidt (christian_s)

Senior Mitglied Benutzername: christian_s
Nummer des Beitrags: 787 Registriert: 02-2002
| | Veröffentlicht am Samstag, den 21. Dezember, 2002 - 10:41: |
|
Hi Jan Die Aufgaben aus dem Bundeswettbewerb für Mathematik solltest du schon selbst lösen oder gar nicht. Also bitte keine weiteren Antworten mehr auf diesen Beitrag. MfG C. Schmidt |
   
Christian Schmidt (christian_s)

Senior Mitglied Benutzername: christian_s
Nummer des Beitrags: 788 Registriert: 02-2002
| | Veröffentlicht am Samstag, den 21. Dezember, 2002 - 10:49: |
|
Ich schreib hier am besten auch noch die anderen Aufgaben des Wettbewerbs hin: 1) Gegeben seien sechs aufeinander folgende positive ganze Zahlen. Man beweise, dass es eine Primzahl gibt, die Teiler von genau einer dieser Zahlen ist. 2) Man ermittle alle Tripel (x,y,z) ganzer Zahlen, die jede der folgenden Gleichungen erfüllen: (1) x³-4x²-16x+60=y (2) y³-4y²-16y+60=z (3) z³-4z²-16z+60=x 3) In einem Parallelogramm ABCD werden auf den Seiten AB und BC die Punkte M und N so gewählt, dass sie mit keinem Eckpunkt zusammenfallen und die Strecken AM und AN gleich lang sind. Der Schnittpunkt der Strecken AN und CM wird mit Q bezeichnet. Man beweise, dass DQ den Winkel ADC halbiert. Und dann halt noch die von Jan gestellte Aufgabe. MfG C. Schmidt |
|