| Autor |
Beitrag |
   
Julia

Unregistrierter Gast
| | Veröffentlicht am Donnerstag, den 03. Oktober, 2002 - 13:14: |
|
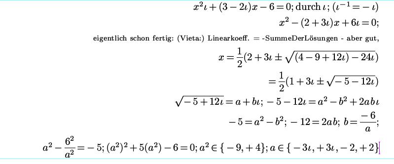
Hilfe, ich schreib Morgen Mathe und krieg die Aufgabe nicht hin. Nach p/q-Formel habe ich immer noch eine Wurzel mit einer komplexen Zahl übrig. Lösung soll aber Wurzellos sein. Wer hilft? i*sqr(x) + (3-2*i)*x - 6 = 0 Habe raus: x = 1 + 1,5*i + sqrt(-(5/4)-3*i) Julia |
   
Friedrich Laher (friedrichlaher)

Senior Mitglied Benutzername: friedrichlaher
Nummer des Beitrags: 511 Registriert: 02-2002
| | Veröffentlicht am Freitag, den 04. Oktober, 2002 - 09:45: |
|
hoffentlicht noch rechtzeitig; Bitt schreib für x zum Quadrat künftig x² oder x^2; (bei mir: einfach die Taste auf der ^ und ° ist und dann die 2 wenn Du x² willst oder die genannte Taste, Zwischenraum und dann die 2 für x^2; oder mit den "Zahlreich"-Werkzeugen: x\+{2} ) ich meinte erst, mit sqr(x) sei Quadratwurzel gemeint - und das ist danneine wirklich lästige Gleichung
diese/n Wert/e einzusetzen schaffts Du nun doch selbst? (Vieta: man sieht 2*(3i) = 6i also x1 = 2, x2 = 3i) (eine Gleichung in Kompexen Zahlen bringt man auf die Form f(z) = 0; eine Komplexe Zahl ist nur dann = 0 wenn sowohl Realteil als auch Imaginärteil für sich 0 sind ) (Beitrag nachträglich am 04., Oktober. 2002 von friedrichlaher editiert) |
   
Christian Schmidt (christian_s)

Senior Mitglied Benutzername: christian_s
Nummer des Beitrags: 531 Registriert: 02-2002
| | Veröffentlicht am Freitag, den 04. Oktober, 2002 - 14:25: |
|
Jetzt gibt das auch Sinn... Ich hatte das sqr als Wurzel aufgefasst, dann erhält man ja auch eine quadratische Gleichung, aber dabei fällt die Wurzel nicht weg ;) |
   
Julia

Unregistrierter Gast
| | Veröffentlicht am Freitag, den 04. Oktober, 2002 - 15:15: |
|
Vielen Dank. Es geht auch mit der Formel sqrt(z)=sqrtBetrag(z)*((z-Betr(z)/(Betr(z-Betr(z))) Tschüß Julia |