| Autor |
Beitrag |
   
Christian Oeing (chriso)

Mitglied Benutzername: chriso
Nummer des Beitrags: 22 Registriert: 05-2002
| | Veröffentlicht am Sonntag, den 29. September, 2002 - 18:53: |
|
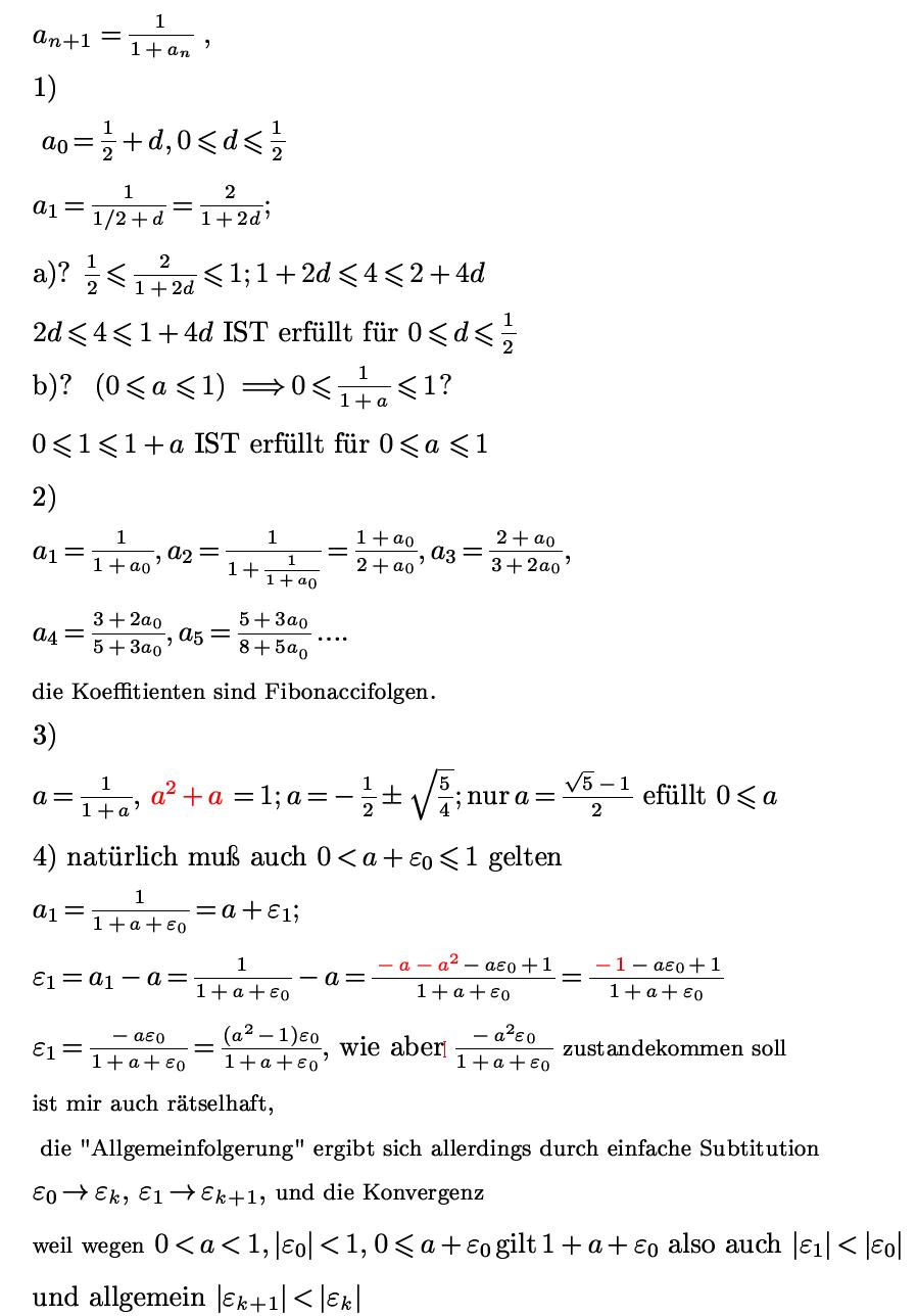
Aufgabe: Die Folge (a(n)) sei rekursiv definiert durch die Vorschrift: a(n+1) = 1/(1+a(n)) 1) Für den Startwert a(0) gelte: 0(kleiner-gleich)a(0)(kleiner-gleich)1 Zeige: 0,5 kleinergleich a1 kleinergleich 1 und: alle anderen Folgenglieder liegen zwischen 0 und 1 !!!!! 2) Berechne die ersten 5 Folgenglieder! Was fällt auf? 3) Gibt es einen Startwert a0, 0 kl.gl.a0 kl.gl.1, so dass (a(n)) eine konstante Folge ist, (also a(n+1) = a(n) )???? Berechne diesen Wert a:=a0 4) Sei nun wieder a0 ein beliebiger Startwert mit a0 = a + e0, a1 = a + e1. (e=Epsilon) Zeige: e1=-a*e0*(1/1+a+e0)= -a^2*e0*((1+a)/(1+a+e0)) allgemein: ak=a+ek => e(k+1)=-a*ek*(1/(1+a+ek)) 5) Folgere aus 4), dass (a(n)) konvergent gegen a ist, sofern "0" kl.gl. "a0" kl.gl. "1" gilt. Bitte um Hilfe!! Ich habe keinen Schimmer, was zu tun ist:-( gruß co
|
   
Friedrich Laher (friedrichlaher)

Erfahrenes Mitglied Benutzername: friedrichlaher
Nummer des Beitrags: 482 Registriert: 02-2002
| | Veröffentlicht am Montag, den 30. September, 2002 - 16:33: |
|
1) a), lezte Zeile soll natürlich 2d <= 3 <= 1 + 4d ... lauten (Beitrag nachträglich am 30., September. 2002 von friedrichlaher editiert) |
|