| Autor |
Beitrag |
   
Peter

Unregistrierter Gast
| | Veröffentlicht am Freitag, den 27. September, 2002 - 09:40: |
|
Hallo! Ich hoffe Ihr könnt mir helfen. Wie löse ich eine Gleichung vom Typ: x^3 + a x + b = 0 ohne raten und Polynomdivision. Es geht meines Wissens irgendwie mit komplexen Zahlen die ich übrigens gut kann. Vielen Dank schonmal, Peter |
   
Walter H. (mainziman)

Erfahrenes Mitglied Benutzername: mainziman
Nummer des Beitrags: 213 Registriert: 05-2002
| | Veröffentlicht am Samstag, den 28. September, 2002 - 09:45: |
|
Hi Peter, die Cardanischen Formeln sind dafür genau das richtige; Gruß, Walter Mainzi Man, ein Mainzelmännchen, das gerne weiterhilft oder auch verwirrt *ggg*
|
   
Niels (niels2)

Erfahrenes Mitglied Benutzername: niels2
Nummer des Beitrags: 124 Registriert: 06-2001
| | Veröffentlicht am Samstag, den 28. September, 2002 - 10:47: |
|
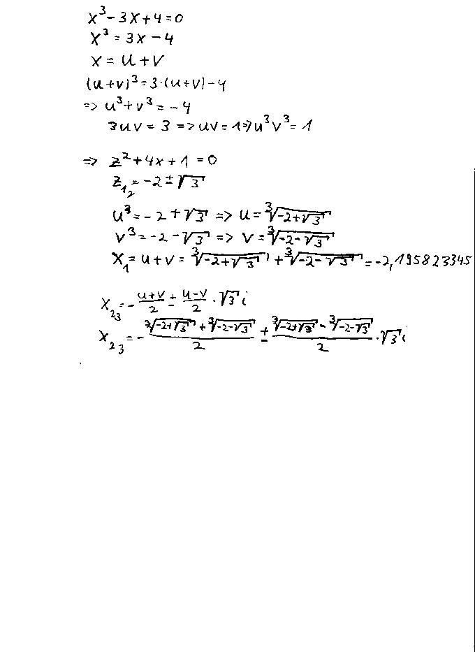
Hi Peter, bevor wir in "Cardanos Theorie" einsteigen, sollten wir erstmal ein paar Beispiele rechnen. 1. Beispiel: Berechne die Nullstellen der Funktion f(x)=x³-3x+4 . a) Zeichne den Graphen im Bereich [-5;5]. b) Wie viele Nullstellen hat diese Funktion in R (in C)? c) Berechne alle dir bekannten Nullstellen näherungsweise ! (auf 5 Stellen genau!) d) Was lässt sich noch über Nullstellen von ganzrationalen Funktionen 3. Grades sagen/ vermuten ? Gruß N.
|
   
Peter

Unregistrierter Gast
| | Veröffentlicht am Samstag, den 28. September, 2002 - 18:27: |
|
Hallo! Ich habe das Beispiel mal gerechent. Die Funktion hat eine reelle Nullstelle bei etwa x=-2,19582... Sie hat einen Tiefpunkt T(1;2) und einen Hochpunkt bei H(-1;6) der Wendepunkt liegt genau dazwischen (wie immer bei Polynomen 3. Grades) bei W(0;4) In C hat sie noch 2 weitere Nullstellen N(1,0979...+0,7850...i ; 0) und N(1,0979...-0,7850...i ; 0) also eine und die dazu konjugiert komlexe. Eine Ganzrationele Funktion 3. Grades hat in C immer 3 Nullstellen. In R hat sie mindestens eine, da sie einen -unendlich nach +unendlich einen Vorzeichenwechsel macht. Viele Grüße, Peter
|
   
Niels (niels2)

Erfahrenes Mitglied Benutzername: niels2
Nummer des Beitrags: 125 Registriert: 06-2001
| | Veröffentlicht am Sonntag, den 29. September, 2002 - 12:53: |
|
Hi Peter, alles Korrekt gerechnet. In R haben Funktionen 3. Grades immer eine Reelle Nullstelle ! Nun zur algebraischen Lösungsmethode:
Ich werde dies im Anschluß noch kommentieren. viele Grüße Niels
|
   
Peter

Unregistrierter Gast
| | Veröffentlicht am Montag, den 30. September, 2002 - 20:59: |
|
Hallo Nils! Vielen Dank für Deine Lösung! Ich konnte die Rechnung soweit nachvollziehen, mir ist nur nicht ganz klar wie Du auf x2 und x3 kommst. Viele Grüße, Peter |
   
Niels (niels2)

Erfahrenes Mitglied Benutzername: niels2
Nummer des Beitrags: 127 Registriert: 06-2001
| | Veröffentlicht am Dienstag, den 01. Oktober, 2002 - 16:34: |
|
Hi Peter, um das zu erklären wie x2 und x3 zustande kommen müssten wir mit der allgemeinen kubischen Glichung beginnen und deinen Fall als spezialfall abtun. Oder du kaufst mir ab das wir immer von Gleichungen der Form y³+3py+q=0 sprechen. Ich könnte mir aber vorstellen, das du dich zurecht fragen wirst "warum grade 3py" also schlage ich vor bei Null anzufangen. was hälst du davon? Gruß N. |
   
Peter

Unregistrierter Gast
| | Veröffentlicht am Mittwoch, den 02. Oktober, 2002 - 12:58: |
|
Hallo Niels! Ich weiss bereits, dass man eine allgemeine qubische Gleichung der in eine der Form: x³+ax+b = 0 verwandeln kann und dass sich die Lösungen dabei nur um eine Konstante verschieben. Daher habe interessiete mich nur die Lösung dieser speziellen Form. Warum man aber die Form: y³+3py+q=0 besonders geeignet ist weiss ich nicht genau, ich vermute aber weil der Faktor 3 durch (a+b)³ = a³ + 3 a²b + ... hineinkommt. Viele Grüße, Peter |
   
Niels (niels2)

Erfahrenes Mitglied Benutzername: niels2
Nummer des Beitrags: 128 Registriert: 06-2001
| | Veröffentlicht am Mittwoch, den 02. Oktober, 2002 - 18:19: |
|
Hi Peter, studiere folgende Website: http://www.graphics.ethz.ch/~bauer/Algebra/kubisch.html Wenn du noch Fragen hast, bitte melde dich hier nochmal... viele Grüße Niels
|
   
Peter

Unregistrierter Gast
| | Veröffentlicht am Freitag, den 04. Oktober, 2002 - 22:12: |
|
Hallo Niels! Ich habe verstanden wie man auf die anderen Lösungen kommt. Vielen Dank! Viele Grüße, Peter |