| Autor |
Beitrag |
   
Kati

Unregistrierter Gast
| | Veröffentlicht am Dienstag, den 24. September, 2002 - 19:02: |
|
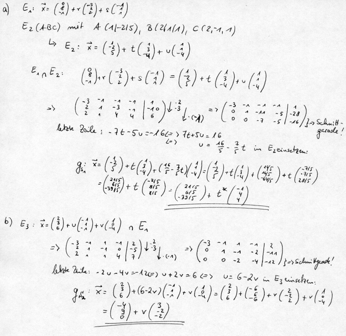
Hallo! Wer kann mir beim Lösen dieser Aufgabe helfen? Welche Lage nimmt die Ebene E1:x = (0/8/-1)+r(-3/2/2)+s(-1/1/1) zur Ebene E2, welche durch die Punkte A(1;-2;5) B(2;1;1) und C(2;-1;1)geht, ein? Beschreiben Sie gegebenfalls die Schnittgerade der beiden Ebenen durch eine Parametergleichung. Welche Lage hat Ebene E3 zur Ebene E1? E3:x = (2/3/6)+u(-1/1/-1)+v(1/0/-4) (gegebenenfalls auch Schnittgerade in Parameterform) Bitte helft mir! MfG Kati |
   
thuriferar783 (thuriferar783)

Fortgeschrittenes Mitglied Benutzername: thuriferar783
Nummer des Beitrags: 69 Registriert: 05-2002
| | Veröffentlicht am Dienstag, den 24. September, 2002 - 21:47: |
|
Hier sind die Lösungen: Gruß, Oli P. ____________________________ Über ein Feedback und/oder konstruktive Kritik freue ich mich immer!
|
   
Kati

Unregistrierter Gast
| | Veröffentlicht am Samstag, den 28. September, 2002 - 19:30: |
|
Hy thurifera783, vielen,vielen Dank für deine Hilfe. Hab die Aufgaben jetzt kapiert. Nochmals: Danke! MfG Kati |
|