Themenbereiche Themenbereiche Profile Hilfe/Anleitungen Help    
Recent Posts Last 1|3|7 Days Suche Suche Tree Tree View  

formelumstellung

ZahlReich - Mathematik Hausaufgabenhilfe » Berufsschule » Meisterprüfung » formelumstellung « Zurück Vor »

Das Archiv für dieses Kapitel findest Du hier.

Autor Beitrag
Seitenanfangvoriger Beitragnächster BeitragSeitenende Link zu diesem Beitrag

holger
Suche alle Beiträge dieser Person in dieser Hauptrubrik
Unregistrierter Gast
Veröffentlicht am Mittwoch, den 11. September, 2002 - 20:42:   Beitrag drucken

Hallo Leute,
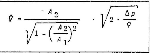
ich habe hier eine Formel,die ich nach A(2)umstellen muß.Ich hoffe das schafft jemand.
formel
Seitenanfangvoriger Beitragnächster BeitragSeitenende Link zu diesem Beitrag

Friedrich Laher (friedrichlaher)
Suche alle Beiträge dieser Person in dieser Hauptrubrik
Erfahrenes Mitglied
Benutzername: friedrichlaher

Nummer des Beitrags: 402
Registriert: 02-2002
Veröffentlicht am Donnerstag, den 12. September, 2002 - 09:27:   Beitrag drucken

formel
ich nehm an, der Rest gelingt Dir selbst -
beide Seiten durch die () der linken Seite Divieren, Doppelbruch "einebnen", Wurzel ziehen.
Seitenanfangvoriger Beitragnächster BeitragSeitenende Link zu diesem Beitrag

Friedrich Laher (friedrichlaher)
Suche alle Beiträge dieser Person in dieser Hauptrubrik
Erfahrenes Mitglied
Benutzername: friedrichlaher

Nummer des Beitrags: 403
Registriert: 02-2002
Veröffentlicht am Donnerstag, den 12. September, 2002 - 09:35:   Beitrag drucken

hoppla, natürlich soll die letze Zeile
formel
lauten
Seitenanfangvoriger Beitragnächster BeitragSeitenende Link zu diesem Beitrag

holger
Suche alle Beiträge dieser Person in dieser Hauptrubrik
Unregistrierter Gast
Veröffentlicht am Donnerstag, den 12. September, 2002 - 20:02:   Beitrag drucken

Hallo Friedrich,
vielen Dank für deine Hilfe,aber ich schaffe es
nicht die Umstellung zun beenden.
Seitenanfangvoriger Beitragnächster BeitragSeitenende Link zu diesem Beitrag

Christian Schmidt (christian_s)
Suche alle Beiträge dieser Person in dieser Hauptrubrik
Erfahrenes Mitglied
Benutzername: christian_s

Nummer des Beitrags: 473
Registriert: 02-2002
Veröffentlicht am Donnerstag, den 12. September, 2002 - 20:10:   Beitrag drucken

Hi holger

Einfach durch die Klammer teilen und dann die Wurzel ziehen.

MfG
C. Schmidt

Beitrag verfassen
Das Senden ist in diesem Themengebiet nicht unterstützt. Kontaktieren Sie den Diskussions-Moderator für weitere Informationen.

ad

Administration Administration Abmelden Abmelden   Previous Page Previous Page Next Page Next Page