Themenbereiche Themenbereiche Profile Hilfe/Anleitungen Help    
Recent Posts Last 1|3|7 Days Suche Suche Tree Tree View  

gleichung

ZahlReich - Mathematik Hausaufgabenhilfe » Berufsschule » Meisterprüfung » gleichung « Zurück Vor »

Das Archiv für dieses Kapitel findest Du hier.

Autor Beitrag
Seitenanfangvoriger Beitragnächster BeitragSeitenende Link zu diesem Beitrag

holger
Suche alle Beiträge dieser Person in dieser Hauptrubrik
Unregistrierter Gast
Veröffentlicht am Sonntag, den 04. August, 2002 - 18:27:   Beitrag drucken

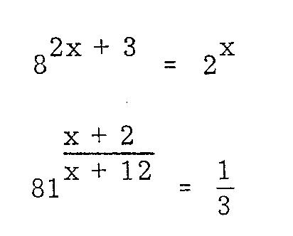
Hallo,es sind zwei Gleichungen ohne Benutzung der Logarithmentafel zu lösen. Damit komme ich einfach nicht klar.
gleichung
Seitenanfangvoriger Beitragnächster BeitragSeitenende Link zu diesem Beitrag

Thomas (johnnie_walker)
Suche alle Beiträge dieser Person in dieser Hauptrubrik
Mitglied
Benutzername: johnnie_walker

Nummer des Beitrags: 31
Registriert: 06-2002
Veröffentlicht am Sonntag, den 04. August, 2002 - 18:44:   Beitrag drucken

Hallo Holger,

82x+3 =(23)2x+3=26x+9

also muß gelten 6x+9=x <=>x=-9/5

analog (x ungleich -12)

81 = 34 = (1/3)-4

also -4(x+2) = x+12
<=> -4x-8 = x+12
<=> 4 = 5x
<=> x = 4/5

Gruß

Thomas

(Beitrag nachträglich am 04., August. 2002 von johnnie_walker editiert)

(Beitrag nachträglich am 04., August. 2002 von johnnie_walker editiert)
Seitenanfangvoriger Beitragnächster BeitragSeitenende Link zu diesem Beitrag

Thomas (johnnie_walker)
Suche alle Beiträge dieser Person in dieser Hauptrubrik
Mitglied
Benutzername: johnnie_walker

Nummer des Beitrags: 33
Registriert: 06-2002
Veröffentlicht am Sonntag, den 04. August, 2002 - 19:12:   Beitrag drucken

Zeimal korrigiert und trotzdem noch falsch :

zu 2) -5x=20 <=> x=-4

Beitrag verfassen
Das Senden ist in diesem Themengebiet nicht unterstützt. Kontaktieren Sie den Diskussions-Moderator für weitere Informationen.

ad

Administration Administration Abmelden Abmelden   Previous Page Previous Page Next Page Next Page