| Autor |
Beitrag |
   
holger

Unregistrierter Gast
| | Veröffentlicht am Donnerstag, den 01. August, 2002 - 17:55: |
|
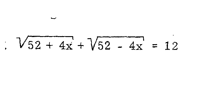
Eine schwierige Aufgabe, jedenfalls für mich. Ich weiß das bei dieser Aufgabe das Ergebnis 12 und -12 ist, aber ich komme einfach nicht mit meinen Rechenweg auf das Ergebnis.  |
   
Josef Filipiak (filipiak)

Neues Mitglied Benutzername: filipiak
Nummer des Beitrags: 3 Registriert: 10-2001
| | Veröffentlicht am Donnerstag, den 01. August, 2002 - 19:10: |
|
Hallo Holger, Ö(52+4x) + Ö(52-4x) = 12 (Ö(52+4x)²+2*Ö(52+4x)+ Ö(52-4x) + Ö(52-4x)²= 12² 52+4x+2*Ö(52+4x)(52-4x) + 52-4x = 144 104 + 2*Ö(52²-4²x²) = 144 2*Ö(52²-4²x²) = 40 Ö(52²-4²x²) = 20 (Ö52²-4²x²)² = 20² 52²-16x² = 400 2704-16x² = 400 -16x² = -2304 x² = 144 x = 12 nach der 4 soll x stehen und " ist hoch 2 Gruß Filipiak |
|