   
Friedrichlaher (Friedrichlaher)

Senior Mitglied Benutzername: Friedrichlaher
Nummer des Beitrags: 2273 Registriert: 02-2002
| | Veröffentlicht am Dienstag, den 15. Juni, 2004 - 11:06: |
|
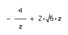
Ich Nehme an, auch das z soll unter dem Wurzelzeichen stehen Ableitung einer Summe = Summe der Ableitungen der Summanden [f(z)]' = (-4/z)' + (2*Wurzel(6z))' Ableitung von KonstanterFaktor*Funktion = KonstanterFaktor*(Ableitung von Funktion) -4 und 2*Wurzel(6) sind konstante Faktoren [f(z)]' = (-4)*(1/z)' + 2*Wurzel(6)*( Wurzel(z) )' 1/z = z-1, Wurzel(z)=z1/2 (zq)' = q*zq-1 [f(z)]' = (-4)*(-1*z-2)+2*61/2*(z-1/2/2) den Rest schaffst Du selbst, hat nichts mehr mit Ableiten zu tun. Wenn das Erlernen der Mathematik einigermaßen ihre Erfindung wiederspiegeln soll, so muß es einen Platz für Erraten, für plausibles Schließen haben. [Aus dem Vorwort zu "Mathematik und plausibles Schliessen, Bd. 1 Induktion und Analogie in der Mathematik" von Georg Pólya]
|