| Autor |
Beitrag |
   
Uhu (Uhu)

| | Veröffentlicht am Sonntag, den 30. September, 2001 - 14:09: |
|
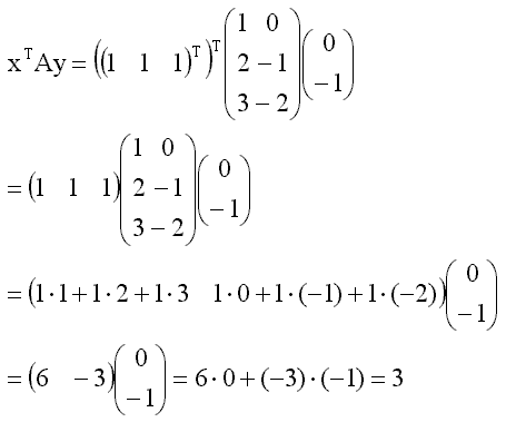
Gegeben seien x= (1,1,1)^T y= (0,-1)^T A= 1 0 2 -1 3 -2 (Diese Zahlen stehen in einer Klammer) Wie lautet der Wert von xTAy? wie fange ich es an und wie bringe ich es zu ende? verstehe es nicht. vielen herzlichen dank |
   
Araiguma (Uwe)

| | Veröffentlicht am Montag, den 01. Oktober, 2001 - 19:30: |
|
Hallo Uhu, ich nehme einmal an, du weisst, dass xT den Vektor x zu transponieren d.h. aus Spalten werden Zeilen und umgekehrt. Da x als transponierte Zeile definiert ist, aber in der Aufgabe x wiederum transponiert wird, heben sich diese beiden Transpositionen auf. Man kann entweder zuerst xTA rechnen oder Ay. Das ändert nichts am Ergebnis.
Man multipliziert also die Zeilenelemente des ersten Vektors/Matrix mit den Spaltenelementen des zweiten Vektors/Matrix. Kurz: "Zeile mal Spalte" Beste Grüße Uwe |
   
Araiguma (Uwe)

| | Veröffentlicht am Montag, den 01. Oktober, 2001 - 19:33: |
|
Die Rechnung ist nicht mitgekommen. Aber hier:
Uwe |
   
Araiguma (Uwe)

| | Veröffentlicht am Montag, den 01. Oktober, 2001 - 20:51: |
|
Dritter Versuch:
Hat endlich geklappt! |
|